精英家教网 > 高中数学 > 题目详情

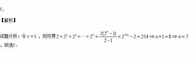
,当时,等于( )

A.5 B.6 C.7 D.8

练习册系列答案
相关习题

科目:高中数学 来源:2015-2016学年上海师大附中高二上期中数学试卷(解析版) 题型:填空题

向量在向量方向上的投影为____ __.

查看答案和解析>>

科目:高中数学 来源:2015-2016学年江西省吉安市高二上二段考理科数学卷(解析版) 题型:选择题

四位好朋友在一次聚会上,他们按照各自的爱好选择了形状不同、内容高度相等、杯口半径相等的圆口酒杯,如下图所示,盛满酒后他们约定:先各自饮杯中酒的一半,设剩余酒的高度从左到右依次为,则它们的大小关系正确的是( )

A. B. C. D.

查看答案和解析>>

科目:高中数学 来源:2015-2016学年广西省高一上段考数学试卷(解析版) 题型:选择题

函数在区间上递减,则实数的取值范围是( )

A. B. C. D.

查看答案和解析>>

科目:高中数学 来源:2015-2016学年浙江省高二上期中数学试卷(解析版) 题型:解答题

数列满足,……,

(1)求的值;

(2)求之间的关系式

(3)求证:

查看答案和解析>>

科目:高中数学 来源:2015-2016学年山西省高二11月月考文科数学卷(解析版) 题型:选择题

中,角所对应的边分别为,则“”是“”的( )

A.充分非必要条件 B.充分必要条件

C.必要非充分条件 D.非充分非必要条件

查看答案和解析>>

科目:高中数学 来源:2015-2016学年河南省高一12月月考数学试卷(解析版) 题型:填空题

已知是定义在上的偶函数,且当时,,若对任意实数,都有恒成立,则实数的取值范围是

查看答案和解析>>

科目:高中数学 来源:2016届宁夏吴忠中学高三上学期第四次月考理科数学试卷(解析版) 题型:解答题

为了解今年某校高三毕业班准备报考飞行员学生的体重情况,将所得的数据整理后,画出了频率分布直方图(如图),已知图中从左到右的前3个小组的频率之比为1:2:3,其中第2小组的频数为12.

(1)求该校报考飞行员的总人数;

(2)以这所学校的样本数据来估计全省的总体数据,若从全省报考飞行员的同学中(人数很多)任选三人,设表示体重超过60公斤的学生人数,求的分布列和数学期望.

查看答案和解析>>

科目:高中数学 来源:2015-2016学年辽宁师大附中高一上12月月考数学试卷(解析版) 题型:选择题

若一个水平放置的圆柱的正视图与其侧面展开图相似,则这个圆柱的侧面积与全面积之比( )

A. B. C. D.

查看答案和解析>>

同步练习册答案