精英家教网 > 高中数学 > 题目详情

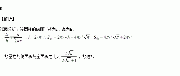
若一个水平放置的圆柱的正视图与其侧面展开图相似,则这个圆柱的侧面积与全面积之比( )

A. B. C. D.

练习册系列答案
相关习题

科目:高中数学 来源:2015-2016学年浙江省高二上期中数学试卷(解析版) 题型:选择题

,当时,等于( )

A.5 B.6 C.7 D.8

查看答案和解析>>

科目:高中数学 来源:2015-2016学年甘肃天水一中高一上一学段中考试数学试卷(解析版) 题型:选择题

(平行班做)若函数y=f(x)为偶函数,且在(0,+∞)上是减函数,又f(3)=0,则

的解集为( ).

A.(-3, 3)

B.(-∞,-3)∪(3,+∞)

C.(-∞,-3)∪(0,3)

D.(-3,0)∪(3,+∞)

查看答案和解析>>

科目:高中数学 来源:2015-2016学年北大附中河南分校高二宏志班理科数学试卷(解析版) 题型:选择题

已知双曲线的中心为原点,的焦点,过斜率为的直线与相交于两点,且线段的中点为,则的方程为( )

A. B.

C. D.

查看答案和解析>>

科目:高中数学 来源:2015-2016学年内蒙古包头市高一上期中数学试卷(解析版) 题型:选择题

定义在R上的函数是偶函数,且,若时,,则的值为( )

A.﹣1 B.3 C.1 D.﹣3

查看答案和解析>>

科目:高中数学 来源:2015-2016学年贵州省高一上学期中考试数学试卷(解析版) 题型:选择题

已知函数,若,则( )

A. B. C.1 D.2

查看答案和解析>>

科目:高中数学 来源:2016届浙江省高三上学期期中理科数学试卷(解析版) 题型:选择题

下列说法正确的是( )

A.若命题都是真命题,则命题“”为真命题

B.命题“若,则”的否命题为“若,则

C.命题“”的否定是“

D.“”是“”的必要不充分条件

查看答案和解析>>

科目:高中数学 来源:2015-2016学年河北省、永年二中高二上期中文科数学试卷(解析版) 题型:解答题

已知函数

(1)求不等式的解集;

(2)若对一切,均有成立,求实数m的取值范围.

查看答案和解析>>

科目:高中数学 来源:2016届山东师大附中高三上学期第三次模拟理科数学试卷(解析版) 题型:选择题

等差数列的前项和为( )

A.9 B.10 C.11 D.12

查看答案和解析>>

同步练习册答案