精英家教网 > 高中数学 > 题目详情

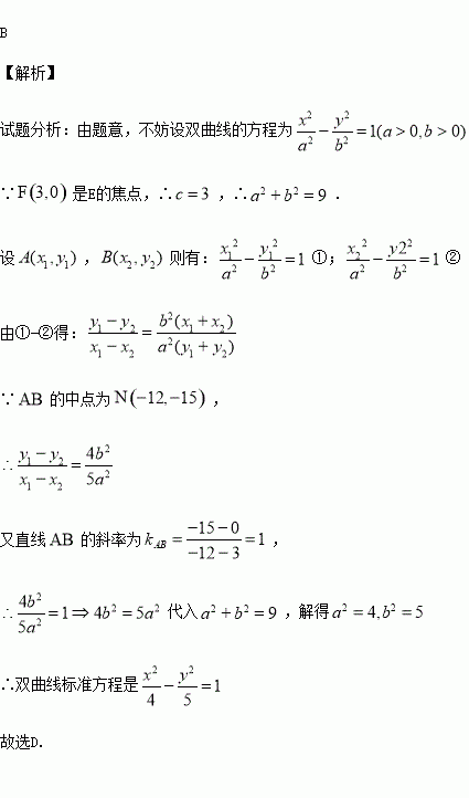
已知双曲线的中心为原点,的焦点,过斜率为的直线与相交于两点,且线段的中点为,则的方程为( )

A. B.

C. D.

练习册系列答案
相关习题

科目:高中数学 来源:2015-2016学年广西省高一上段考数学试卷(解析版) 题型:选择题

函数在区间上递减,则实数的取值范围是( )

A. B. C. D.

查看答案和解析>>

科目:高中数学 来源:2016届宁夏吴忠中学高三上学期第四次月考理科数学试卷(解析版) 题型:解答题

为了解今年某校高三毕业班准备报考飞行员学生的体重情况,将所得的数据整理后,画出了频率分布直方图(如图),已知图中从左到右的前3个小组的频率之比为1:2:3,其中第2小组的频数为12.

(1)求该校报考飞行员的总人数;

(2)以这所学校的样本数据来估计全省的总体数据,若从全省报考飞行员的同学中(人数很多)任选三人,设表示体重超过60公斤的学生人数,求的分布列和数学期望.

查看答案和解析>>

科目:高中数学 来源:2016届河北省邯郸市高三一轮考试二文科数学试卷(解析版) 题型:解答题

为了调查某高中学生每天的睡眠时间,现随机对20名男生和20名女生进行问卷调查,结果如下:女生:

睡眠时间(小时)

[4,5)

[5,6)

[6,7)

[7,8)

[8,9]

人数

2

4

8

4

2

男生:

睡眠时间(小时)

[4,5)

[5,6)

[6,7)

[7,8)

[8,9]

人数

1

5

6

5

3

(1)现把睡眠时间不足5小时的定义为“严重睡眠不足”,从睡眠时间不足6小时的女生中随机抽取3人,求此3人中恰有一人为“严重睡眠不足”的概率;

(2)完成下面2x2列联表,并回答是否有90%的把握认为“睡眠时间与性别有关”?

睡眠时间少于7小时

睡眠时间不少于7小时

合计

男生

女生

合计

P(

0.15

0.10

0.05

0.025

0.010

0.005

0.001

k

2.072

2.706

3.841

5.024

6.635

7.8879

10.828

,其中n=a+b+c+d)

查看答案和解析>>

科目:高中数学 来源:2015-2016学年湖南省衡阳市高二上期中理科数学试卷(解析版) 题型:选择题

与直线平行的抛物线的切线方程为( )

A、 B、

C、 D、

查看答案和解析>>

科目:高中数学 来源:2015-2016学年内蒙古包头市高一上期中数学试卷(解析版) 题型:选择题

已知定义域为R的函数满足时,单调递增,若的值( )

A.恒小于0 B.恒大于0 C.可能等于0 D.可正可负

查看答案和解析>>

科目:高中数学 来源:2015-2016学年辽宁师大附中高一上12月月考数学试卷(解析版) 题型:选择题

若一个水平放置的圆柱的正视图与其侧面展开图相似,则这个圆柱的侧面积与全面积之比( )

A. B. C. D.

查看答案和解析>>

科目:高中数学 来源:2015-2016学年江苏省高二上学期开学考数学试卷(解析版) 题型:填空题

不等式的解集为________.

查看答案和解析>>

科目:高中数学 来源:2015-2016学年浙江省嘉兴市高二上12月月考数学卷(解析版) 题型:填空题

如果两条直线::平行,那么的值为

查看答案和解析>>

同步练习册答案