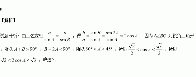
精英家教网 > 高中数学 > 题目详情

锐角三角形中,分别是三内角的对边,设,则的取值范围是( )

A. B. C. D.

练习册系列答案
相关习题

科目:高中数学 来源:2015-2016学年河南省高二上期中理科数学试卷(解析版) 题型:解答题

已知函数.

(1)试求在区间上的最大值;

(2)若函数在区间上单调递增,试求m的取值范围.

查看答案和解析>>

科目:高中数学 来源:2015-2016学年贵州省高二上滾动训练3数学试卷(解析版) 题型:选择题

ABCD为长方形,AB=2,BC=1,O为AB的中点,在长方形ABCD内随机取一点,取到的点到O的距离大于1的概率为( )

A. B.1- C. D.1-

查看答案和解析>>

科目:高中数学 来源:2015-2016学年广西桂林市高一上期中数学试卷(解析版) 题型:选择题

一个几何体的三视图如图所示,则该几何体的表面积为( )

A. B. C. D.

查看答案和解析>>

科目:高中数学 来源:2015-2016学年广东省惠州市高二上期中理科数学试卷(解析版) 题型:选择题

,则“”是“”的( )

A.充分而不必要条件 B.必要而不充分条件

C.充要条件 D.既不充分也不必要条件

查看答案和解析>>

科目:高中数学 来源:2015-2016学年安徽省蚌埠市高二上期中文科数学试卷(解析版) 题型:选择题

一个正方体的展开图如图所示,为原正方体的顶点,则在原来的正方体中( )

A. B. C.所成的角为 D.相交

查看答案和解析>>

科目:高中数学 来源:2016届云南师范大附中高考适应性月考三文科数学试卷(解析版) 题型:解答题

设函数

(Ⅰ)当时,解不等式

(Ⅱ)若的解集为,求证:

查看答案和解析>>

科目:高中数学 来源:2016届山西省高三上期中文科数学试卷(解析版) 题型:选择题

,则下列结论正确的是( )

A. B. C. D.

查看答案和解析>>

科目:高中数学 来源:2016届黑龙江省齐齐哈尔市高三上期中理科数学试卷(解析版) 题型:填空题

若存在实数使成立,则实数的取值范围是___________.

查看答案和解析>>

同步练习册答案