精英家教网 > 高中数学 > 题目详情

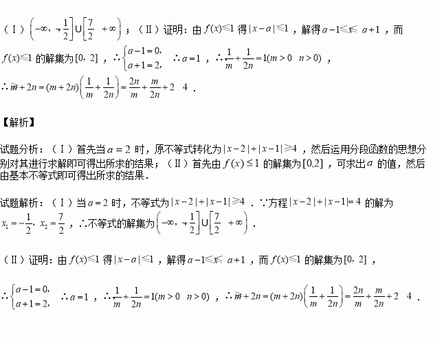
设函数

(Ⅰ)当时,解不等式

(Ⅱ)若的解集为,求证:

练习册系列答案
相关习题

科目:高中数学 来源:2015-2016学年河北邢台一中高二上第三次月考理科数学卷(解析版) 题型:填空题

直线ax+by+c=0与圆O:x2+y2=1相交于A,B两点,且|AB|=,则·=________.

查看答案和解析>>

科目:高中数学 来源:2015-2016学年贵州省高二上滾动训练1数学试卷(解析版) 题型:选择题

经过点A(2,5),B(-3,6)的直线在x轴上的截距为( ).

A.2 B.-3 C.-27 D.27

查看答案和解析>>

科目:高中数学 来源:2015-2016年北大附中河南分校高二宏志班上抽考文数学卷(解析版) 题型:选择题

锐角三角形中,分别是三内角的对边,设,则的取值范围是( )

A. B. C. D.

查看答案和解析>>

科目:高中数学 来源:2015-2016学年安徽省蚌埠市高二上期中理科数学试卷(解析版) 题型:解答题

如图,已知四棱台上,下底面分别是边长为3和6的正方形.底面,点分别在棱上.

(1)点的中点,证明:

(2)若平面,二面角的正切值为,求四面体的体积.

查看答案和解析>>

科目:高中数学 来源:2016届云南师范大附中高考适应性月考三文科数学试卷(解析版) 题型:选择题

如图,网格纸的小正形的边长是1,粗线画出的是一个几何体的三视图,则这个几何体的体积为

A. B. C. D.

查看答案和解析>>

科目:高中数学 来源:2016届云南师范大附中高考适应性月考三理科数学试卷(解析版) 题型:选择题

已知全集为,集合,则

A. B.

C. D.

查看答案和解析>>

科目:高中数学 来源:2016届内蒙古赤峰二中高三上12月月考文科数学试卷(解析版) 题型:解答题

在直角坐标系中,曲线的参数方程为,(为参数),以原点为极点,轴正半轴为极轴,建立极坐标系,曲线的极坐标方程为

(1)求曲线的普通方程与曲线的直角坐标方程;

(2)设为曲线上的动点,求点上点的距离的最小值.

查看答案和解析>>

科目:高中数学 来源:2016届贵州市高三上第四次月考理科数学试卷(解析版) 题型:选择题

设函数,则函数的各极大值之和为( )

A. B.

C. D.

查看答案和解析>>

同步练习册答案