精英家教网 > 高中数学 > 题目详情

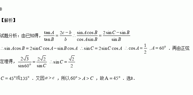
在△ABC中,角所对的边分别为,已知

则C=( )

A、30° B、45° C、45°或135° D、60°

练习册系列答案
相关习题

科目:高中数学 来源:2015-2016学年河北衡水中学高二上二调考试文科数学试卷(解析版) 题型:选择题

执行如图所示的程序框图,则输出的的值为

A.10 B.17 C.19 D.36

查看答案和解析>>

科目:高中数学 来源:2016届宁夏银川市高三上学期统练二理科数学试卷(解析版) 题型:选择题

将函数图象向左平移个单位,所得函数图象的一条对称轴的方程是( )

A. B. C. D.

查看答案和解析>>

科目:高中数学 来源:2016届江西省高三10月月考理科数学试卷(解析版) 题型:选择题

已知一个几何体的三视图及有关数据如图所示,则该几何体的体积为( )

A. B. C. D.

查看答案和解析>>

科目:高中数学 来源:2016届吉林省高三上学期第一次模拟理科数学试卷(解析版) 题型:选择题

,则的 ( )

(A)充分不必要条件 (B)必要不充分条件

(C)充要条件 (D)既不充分也不必要条件

查看答案和解析>>

科目:高中数学 来源:2016届黑龙江省牡丹江市高三10月月考理科数学试卷(解析版) 题型:选择题

已知,且,若,则的大小关系是( )

A. B. C. D.无法确定

查看答案和解析>>

科目:高中数学 来源:2016届黑龙江省高三第一阶段考试文科数学试卷(解析版) 题型:选择题

定义在R上的偶函数f(x),对任意),有,则( )

A.

B.

C.

D.

查看答案和解析>>

科目:高中数学 来源:2016届河北省高三上学期三调考试理科数学试卷(解析版) 题型:选择题

一个由实数组成的等比数列,它的前6项和是前3项和的9倍,则此数列的公比为( )

A. B. C. D.

查看答案和解析>>

科目:高中数学 来源:2015-2016学年河北省高一10月月考数学试卷(解析版) 题型:填空题

函数y=的定义域为

查看答案和解析>>

同步练习册答案