精英家教网 > 高中数学 > 题目详情
棱台上下底面面积分别为16和81,有一平行于底面的截面面积为36,则截面截的两棱台高的比为( )
A.1:1
B.1:1
C.2:3
D.3:4
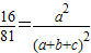
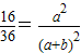
【答案】分析:设出棱台扩展为棱锥的高分别a,b,c如图,利用几何体的面积比就是相似比的平方,即可求出结果.
解答:解:棱台扩展为棱锥的几何体的经过高的截面如图,三部分分别为:a,b,c

所以2b=a,4c=3a
b:c=2:3
截面截的两棱台高的比为 2:3
故选C
点评:本题是基础题,考查几何体的面积比是相似比的平方,体积比是相似比的立方,考查计算能力,作图能力,是常考题型.
练习册系列答案
相关习题

科目:高中数学 来源: 题型:

棱台上下底面面积分别为16和81,有一平行于底面的截面面积为36,则截面截的两棱台高的比为(  )
A、1:1B、1:1C、2:3D、3:4

查看答案和解析>>

科目:高中数学 来源:不详 题型:单选题

棱台上下底面面积分别为16和81,有一平行于底面的截面面积为36,则截面截的两棱台高的比为(  )
A.1:1B.1:1C.2:3D.3:4

查看答案和解析>>

科目:高中数学 来源:《第1章 空间几何体》2013年单元测试卷(13)(解析版) 题型:选择题

棱台上下底面面积分别为16和81,有一平行于底面的截面面积为36,则截面截的两棱台高的比为( )
A.1:1
B.1:1
C.2:3
D.3:4

查看答案和解析>>

科目:高中数学 来源:《第1章 空间几何体》2013年单元测试卷(11)(解析版) 题型:选择题

棱台上下底面面积分别为16和81,有一平行于底面的截面面积为36,则截面截的两棱台高的比为( )
A.1:1
B.1:1
C.2:3
D.3:4

查看答案和解析>>

科目:高中数学 来源:《第1章 空间几何体》2013年单元测试卷(1)(解析版) 题型:选择题

棱台上下底面面积分别为16和81,有一平行于底面的截面面积为36,则截面截的两棱台高的比为( )
A.1:1
B.1:1
C.2:3
D.3:4

查看答案和解析>>

同步练习册答案