精英家教网 > 高中数学 > 题目详情

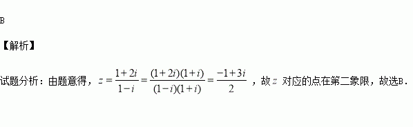
在复平面内,复数是虚数单位)对应的点在( )

A.第一象限 B.第二象限 C.第三象限 D.第四象限

练习册系列答案
相关习题

科目:高中数学 来源:2016届河北省石家庄市高三复习教学质量检测二文科数学试卷(解析版) 题型:解答题

【选修4-5,不等式选讲】

(Ⅰ)若的解集为,求实数的值;

(Ⅱ)当时,若存在,使得不等式成立,求实数m的取值范围.

查看答案和解析>>

科目:高中数学 来源:2016届河北省石家庄市高三复习教学质量检测二理科数学试卷(解析版) 题型:选择题

已知满足约束条件,若2≤m≤4,则目标函数的最大的变化范围是( )

A. [1,3] B. [4,6] C. [4,9] D. [5,9]

查看答案和解析>>

科目:高中数学 来源:2016年甘肃省兰州市高三实战考试文科数学试卷(解析版) 题型:填空题

已知变量满足:,则的最大值为 .

查看答案和解析>>

科目:高中数学 来源:2016年甘肃省兰州市高三实战考试文科数学试卷(解析版) 题型:选择题

一个几何体的三视图如图所示,其中正视图和侧视图是腰长为1的两个等腰直角三角形,则该几何体外接球的体积为( )

A. B. C. D.3

查看答案和解析>>

科目:高中数学 来源:2016年甘肃省兰州市高三实战考试理科数学试卷(解析版) 题型:填空题

已知函数.

(1)若上单调递减,求实数的取值范围;

(2)若,求函数的极小值;

(3)若方程上有两个不等实根,求实数的取值范围.

查看答案和解析>>

科目:高中数学 来源:2016年甘肃省兰州市高三实战考试理科数学试卷(解析版) 题型:填空题

已知变量满足:,则的最大值为 .

查看答案和解析>>

科目:高中数学 来源:2015-2016学年内蒙古赤峰二中高二上第二次月考文数学卷(解析版) 题型:解答题

已知函数f(x)=ax3+cx+d(a≠0)是R上的奇函数,当x=1时,f(x)取得极值-2.

(1)求f(x)的单调区间和极大值;

(2)证明对任意x1,x2∈(-1,1),不等式|f(x1)-f(x2)|<4恒成立.

查看答案和解析>>

科目:高中数学 来源:2016届海南省高三高考模拟三理科数学试卷(解析版) 题型:解答题

.

(1)解不等式

(2)若不等式恒成立,求的取值范围.

查看答案和解析>>

同步练习册答案