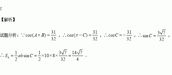
精英家教网 > 高中数学 > 题目详情

中,若的面积是( )

A. B. C. D.

练习册系列答案
相关习题

科目:高中数学 来源:2016届辽宁省抚顺市高三10月月考文科数学试卷(解析版) 题型:填空题

一个几何体的三视图如图所示,则这个几何体的体积为

查看答案和解析>>

科目:高中数学 来源:2016届黑龙江省高三第一阶段考试理科数学试卷(解析版) 题型:选择题

已知函数,且,集合,则( )

A.,都有

B.,都有

C.,使得

D.,使得

查看答案和解析>>

科目:高中数学 来源:2016届河北省高三二调文科数学试卷(解析版) 题型:选择题

在等差数列中,已知,则( )

A. B. C. D.

查看答案和解析>>

科目:高中数学 来源:2016届河北省高三二调理科数学试卷(解析版) 题型:选择题

已知函数为自然对数的底数)与的图象上存在关于轴对称的点,则实数的取值范围是( )

A. B. C. D.

查看答案和解析>>

科目:高中数学 来源:2015-2016学年广东中山一中高二上第一次段考理科数学卷(解析版) 题型:选择题

已知数列的前n项和,则( )

(A)-29 (B)29 (C)30 (D)-30

查看答案和解析>>

科目:高中数学 来源:2015-2016学年黑龙江省牡丹江市高一上学期9月月考数学试卷(解析版) 题型:解答题

(本小题满分12分) 设函数

(1)若且对任意实数均有成立,求实数的值;

(2)在(1)的条件下,令,若上有相同的单调性,,试比较的大小

查看答案和解析>>

科目:高中数学 来源:2015-2016学年河北省高二上学期第二次月考文数学试卷(解析版) 题型:填空题

求圆心在直线2x﹣y﹣3=0上,且过点A(5,2)和点B(3,2)的圆的方程______.

查看答案和解析>>

科目:高中数学 来源:2015-2016学年福建省四地六校高一上学期10月第一次联考数学试卷(解析版) 题型:选择题

若集合A={x|mx2+2x+m=0,m∈R}中有且只有一个元素,则m的取值集合是( )

A.{1} B.{-1} C.{0,1} D.{-1,0,1}

查看答案和解析>>

同步练习册答案