精英家教网 > 高中数学 > 题目详情
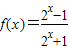
已知函数,则不等式f(x-2)+f(x2-4)<0的解集为( )
A.(-1,6)
B.(-6,1)
C.(-2,3)
D.(-3,2)
【答案】分析:本题要先判出f(x)为奇函数和增函数,进而把抽象不等式转化为关于x的一元二次不等式.
解答:解:由题意可知f(x)的定义域为R.

∴f(-x)+f(x)=
==0,即f(-x)=-f(x),∴f(x)为奇函数.
又f(x)==,由复合函数的单调性可得f(x)为增函数,
∴f(x-2)+f(x2-4)<0可化为f(x-2)<-f(x2-4)
即f(x-2)<f(4-x2),可得x-2<4-x2,
即x2+x-6<0,解得-3<x<2,
故选D
点评:本题为函数的性质与不等式解法的结合,属中档题.
练习册系列答案
相关习题

科目:高中数学 来源:2012-2013学年湖南省长沙市达材学校高三(上)周训数学试卷(理科)(10.7)(解析版) 题型:填空题

已知函数,则不等式f(x)-x≤2的解集是   

查看答案和解析>>

科目:高中数学 来源:2012-2013学年安徽省黄山一中高三(上)周末数学试卷1(理科)(解析版) 题型:选择题

已知函数,则不等式f(x)-x≤2的解集是( )
A.[-,0]
B.(0,+∞)
C.[0,+∞)
D.

查看答案和解析>>

科目:高中数学 来源:2012年江苏省南京外国语学校高考数学冲刺模拟试卷(解析版) 题型:解答题

已知函数,则不等式f(x)-x≤2的解集是   

查看答案和解析>>

科目:高中数学 来源:2011年江苏省常州市武进区前黄高级中学高考数学二模试卷(解析版) 题型:解答题

已知函数,则不等式f(x)-x≤2的解集是   

查看答案和解析>>

科目:高中数学 来源:2010年北京市顺义区高考数学二模试卷(理科)(解析版) 题型:选择题

已知函数,则不等式f(2-x2)+f(2x+1)>0的解集是( )
A.
B.
C.(-∞,-1)∪(3,+∞)
D.(-1,3)

查看答案和解析>>

同步练习册答案