精英家教网 > 高中数学 > 题目详情

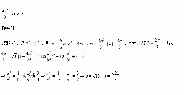
已知双曲线的两条渐近线与抛物线分别相交于异于原点的两点为抛物线的焦点,已知,则该双曲线的离心率为

练习册系列答案
相关习题

科目:高中数学 来源:2016届四川省成都市高三5月一模理科数学试卷(解析版) 题型:解答题

中,点边上,已知.

(1)求

(2)若,求.

查看答案和解析>>

科目:高中数学 来源:2016届山西省省际名校高三下5月联考押题理科数学试卷(解析版) 题型:解答题

选修4-4:坐标系与参数方程

在平面直角坐标系中,以坐标原点为极点,轴非负半轴为极轴,建立极坐标系,已知曲线的极坐标方程为:,直线的参数方程为:为参数),交于两点.

(1)求曲线的直角坐标方程及的普通方程;

(2)已知,求的值.

查看答案和解析>>

科目:高中数学 来源:2016届山西省省际名校高三下5月联考押题理科数学试卷(解析版) 题型:选择题

现有三本相同的语文书和一本数学书,分发给三个学生,每个学生至少分得一本,问这样的分法有( )种.

A.36 B.9 C.18 D.15

查看答案和解析>>

科目:高中数学 来源:2016届山东省高三三模文科数学试卷(解析版) 题型:解答题

已知椭圆)经过点,其中是椭圆的离心率,以原点为圆心,以椭圆的长轴长为直径的圆与直线相切.

(Ⅰ)求椭圆和圆的方程;

(Ⅱ)过椭圆的右焦点的直线与椭圆交于点,过且与直线垂直的直线与圆交于点,以为顶点的四边形的面积记为,求的取值范围.

查看答案和解析>>

科目:高中数学 来源:2016届山东省高三三模文科数学试卷(解析版) 题型:选择题

设函数.若,则的取值范围是( )

A. B. C. D.

查看答案和解析>>

科目:高中数学 来源:2016届山东省高三三模文科数学试卷(解析版) 题型:选择题

,则( )

A. B. C. D.

查看答案和解析>>

科目:高中数学 来源:2016届山东省高三三模理科数学试卷(解析版) 题型:选择题

已知圆,直线上至少存在一点,使得以点为圆心,半径为的圆与圆有公共点,则的最小值是( )

A. B. C. D.

查看答案和解析>>

科目:高中数学 来源:2015-2016学年黑龙江省高一下期中理科数学试卷(解析版) 题型:选择题

若x,y满足,且z=y-x的最小值为-4,则k的值为( )

A.2 B.-2 C. D.

查看答案和解析>>

同步练习册答案