精英家教网 > 高中数学 > 题目详情

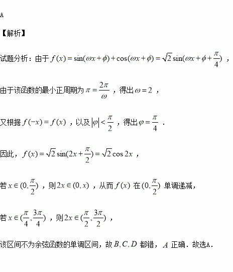
设函数的最小正周期为,且,则( )

A.单调递减 B.单调递减

C.单调递增 D.单调递增

练习册系列答案
相关习题

科目:高中数学 来源:2015-2016学年四川省雅安市高二11月月考文科数学试卷(解析版) 题型:选择题

下列命题中,正确的是( )

A.经过两条相交直线,有且只有一个平面.

B.经过一条直线和一点,有且只有一个平面.

C.若平面与平面相交,则它们只有有限个公共点.

D.若两个平面有三个公共点,则这两个平面重合.

查看答案和解析>>

科目:高中数学 来源:2015-2016学年吉林省高一上学期期末数学试卷(解析版) 题型:选择题

若幂函数单调递增,则实数m的取值范围是( )

(A) (B)

(C) (D)

查看答案和解析>>

科目:高中数学 来源:2015-2016学年福建三明一中高二上第二次月考理科数学卷(解析版) 题型:填空题

,且,则的夹角大小为_______.

查看答案和解析>>

科目:高中数学 来源:2016届重庆市高三12月月考理科数学试卷(解析版) 题型:选择题

执行下图所示框图,若输入,则输出的p等于( )

A.120 B.240 C.360 D.720

查看答案和解析>>

科目:高中数学 来源:2015-2016学年内蒙古巴彦淖尔一中高二上期中文科数学卷(解析版) 题型:填空题

已知抛物线y2=4x,过点P(4,0)的直线与抛物线相交于A(x1,y1)、B(x2,y2)两点,则y12+y22的最小值是_________.

查看答案和解析>>

科目:高中数学 来源:2015-2016学年内蒙古巴彦淖尔一中高二上期中理科数学卷(解析版) 题型:选择题

在长方体ABCD—A1B1C1D1中,M为AC与BD的交点,若=== 则下列向量中与相等的向量是( )

A. B.

C. D.

查看答案和解析>>

科目:高中数学 来源:2016届上海市高三上12月月考理科数学试卷(解析版) 题型:填空题

(2015•杭州校级模拟)在棱长为1的正方体ABCD﹣A1B1C1D1中,点P是正方体棱上的一点(不包括棱的端点),若满足|PB|+|PD1|=m的点P的个数为6,则m的取值范围是

查看答案和解析>>

科目:高中数学 来源:2016届宁夏石嘴山三中高三上第三次适应性考试理科数学试卷(解析版) 题型:解答题

(2015秋•石嘴山校级月考)已知圆O:x2+y2=4和圆C:x2+(y﹣4)2=1.

(Ⅰ)相离;

(Ⅱ)过圆C的圆心C作圆O的切线l,求切线l的方程;

(Ⅲ)过圆C的圆心C作动直线m交圆O于A,B两点.试问:在以AB为直径的所有圆中,是否存在这样的圆P,使得圆P经过点M(2,0)?若存在,求出圆P的方程;若不存在,请说明理由.

查看答案和解析>>

同步练习册答案