精英家教网 > 高中数学 > 题目详情

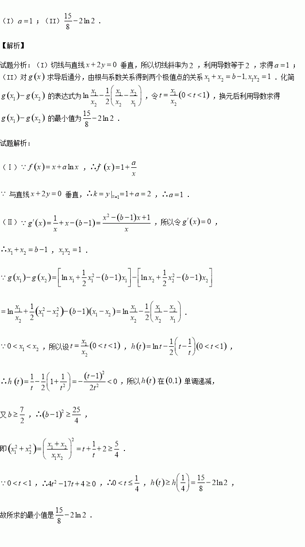
已知函数,在处的切线与直线垂直,函数

(Ⅰ)求实数的值;

(Ⅱ)设,是函数的两个极值点,若,求的最小值.

练习册系列答案
相关习题

科目:高中数学 来源:2017届四川双流中学高三文必得分训练4数学试卷(解析版) 题型:选择题

已知向量,若向量的夹角为,则实数的值为( )

A. B.

C. D.

查看答案和解析>>

科目:高中数学 来源:2017届山西运城市高三文上学期期中数学试卷(解析版) 题型:选择题

函数满足值为( )

A.1 B. C. D.1或

查看答案和解析>>

科目:高中数学 来源:2017届山西运城市高三理上学期期中数学试卷(解析版) 题型:选择题

已知函数是函数的导函数,则的图象大致是( )

查看答案和解析>>

科目:高中数学 来源:2017届山西运城市高三理上学期期中数学试卷(解析版) 题型:选择题

已知,且,则为( )

A. B. C. D.

查看答案和解析>>

科目:高中数学 来源:2017届江西吉安市高三理上段考二数学试卷(解析版) 题型:填空题

已知圆和两点,若圆上存在点,使得,则的取值范围是

查看答案和解析>>

科目:高中数学 来源:2017届江西吉安市高三理上段考二数学试卷(解析版) 题型:选择题

平面直角坐标系中,不等式组为常数)表示的区域面积等于3,则的值为( )

A.-5 B.-2

C.2 D.5

查看答案和解析>>

科目:高中数学 来源:2017届湖南师大附中高三理上学期月考四数学试卷(解析版) 题型:填空题

满足的取值范围是

查看答案和解析>>

科目:高中数学 来源:2016-2017学年湖南师大附中高一上学期段测三数学试卷(解析版) 题型:解答题

某纪念章从2016年10月1日起开始上市,通过市场调查,得到该纪念章每1枚的市场价(单位:元)与上市时间(单位:天)的数据如下:

上市时间

4

10

36

市场价

90

51

90

(1)根据上表数据,从下列函数中选取一个恰当的函数描述该纪念章的市场价与上市时间的变化关系并说明理由:①;②;③

(2)利用你选取的函数,求该纪念章市场价最低时的上市天数及最低的价格.

查看答案和解析>>

同步练习册答案