精英家教网 > 高中数学 > 题目详情
已知函数在x=a处取得极值.
(1)求
(2)设函数g(x)=2x3﹣3af'(x)﹣6a3,如果g(x)在开区间(0,1)上存在极小值,求实数a的取值范围.
解(1)f'(x)=﹣x2+2bx﹣3a2
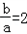
由题意知f'(a)=﹣a2+2ba﹣3a2=0则
b=2a

(2)由已知可得g(x)=2x3+3ax2﹣12a2x+3a3
g'(x)=6x2+6ax﹣12a2=6(x﹣a)(x+2a)
令g'(x)=0,
得x=a或x=﹣2a
若a>0,当x<﹣2a或x>a时,g'(x)>0;当﹣2a<x<a时,g'(x)<0
所以当x=a时,g(x)有极小值,
∴0<a<1
若a<0,当x<a或x>﹣2a时,g'(x)>0;当a<x<﹣2a时,g'(x)<0
所以当x=﹣2a时,g(x)有极小值,
∴0<﹣2a<1

所以当或0<a<1时,g(x)在开区间(0,1)上存在极小值.
练习册系列答案
相关习题

科目:高中数学 来源: 题型:

(08年龙岩一中模拟文)(14分)

已知函数在x=1处取到极值 

(Ⅰ)求a,b满足的关系式(用a表示b)

(Ⅱ)解关于x的不等式

(Ⅲ)问当时,给定定义域为D=[0,1]时,函数是否满足对任意的

都有.如果是,请给出证明;如果不是,请说明理由.

查看答案和解析>>

科目:高中数学 来源: 题型:

(08年龙岩一中模拟文)(14分)

已知函数在x=1处取到极值 

(Ⅰ)求a,b满足的关系式(用a表示b)

(Ⅱ)解关于x的不等式

(Ⅲ)问当时,给定定义域为D=[0,1]时,函数是否满足对任意的

都有.如果是,请给出证明;如果不是,请说明理由.

 

查看答案和解析>>

科目:高中数学 来源:2012-2013学年江西省吉安市安福中学高三(上)第三次段考数学试卷 (文科)(解析版) 题型:解答题

已知函数在x=a处取得极值.
(Ⅰ)求
(Ⅱ)设函数g(x)=2x3-3af′(x)-6a3,如果g(x)在开区间(0,1)上存在极小值,求实数a的取值范围.

查看答案和解析>>

科目:高中数学 来源:2011-2012学年吉林省松原市油田高中高三(上)10月月考数学试卷(解析版) 题型:解答题

已知函数在x=a处取得极值.
(Ⅰ)求
(Ⅱ)设函数g(x)=2x3-3af′(x)-6a3,如果g(x)在开区间(0,1)上存在极小值,求实数a的取值范围.

查看答案和解析>>

科目:高中数学 来源:2011-2012学年吉林省松原市油田高中高三(上)10月月考数学试卷(解析版) 题型:解答题

已知函数在x=a处取得极值.
(Ⅰ)求
(Ⅱ)设函数g(x)=2x3-3af′(x)-6a3,如果g(x)在开区间(0,1)上存在极小值,求实数a的取值范围.

查看答案和解析>>

同步练习册答案