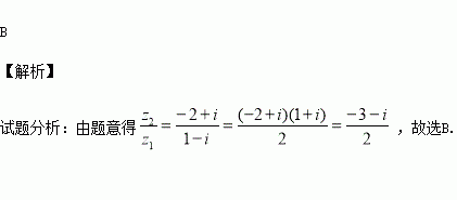
精英家教网 > 高中数学 > 题目详情

已知复数在复平面内的对应点的分别为,则( )

A. B. C. D.

练习册系列答案
相关习题

科目:高中数学 来源:2016届江西省高三第三次模拟文科数学试卷(解析版) 题型:解答题

选修4-5:不等式选讲

已知使得关于的不等式成立.

(1)求满足条件的实数的集合

(2)若,且对于,不等式恒成立,试求的最小值.

查看答案和解析>>

科目:高中数学 来源:2016届重庆一中高三下学期高考适应性考试理科数学试卷(解析版) 题型:选择题

一个四面体的三视图都是等腰直角三角形,如图所示,则这个几何体四个表面中最小的一个表 面面积是( )

A. B. C. D.

查看答案和解析>>

科目:高中数学 来源:2016年山西省高考冲刺压轴卷三理科数学试卷(解析版) 题型:填空题

给出一个如下图所示的程序框图,若要使输入的值与输出的值相等,则这样的值的个数是______.

查看答案和解析>>

科目:高中数学 来源:2016年山西省高考冲刺压轴卷三理科数学试卷(解析版) 题型:选择题

某几何体的三视图如图,则该几何体的体积为( )

A. B. C. D.

查看答案和解析>>

科目:高中数学 来源:2015-2016学年河北冀州中学高一下期末文科数学试卷(解析版) 题型:解答题

已知向量,若函数

(1)求的最小正周期;

(2)若,求的单调减区间.

查看答案和解析>>

科目:高中数学 来源:2015-2016学年河北冀州中学高一下期末文科数学试卷(解析版) 题型:填空题

已知向量,且三点共线,则___________.

查看答案和解析>>

科目:高中数学 来源:2016届贵州省招生模拟文科数学试卷(解析版) 题型:解答题

选修4-4:坐标系与参数方程

已知直线的参数方程为为参数),以坐标原点为极点,轴的正半轴为极轴建立极坐标系,圆的极坐标方程为.

(1)求圆的直角坐标方程;

(2)若点是直线上位于圆内的动点(含端点),求的最大值和最小值.

查看答案和解析>>

科目:高中数学 来源:2015-2016学年山东省高一下期中数学试卷(解析版) 题型:选择题

直线与圆相交于两点,则弦的长等于( )

A. B. C. D.

查看答案和解析>>

同步练习册答案