精英家教网 > 高中数学 > 题目详情

选修4-4:坐标系与参数方程

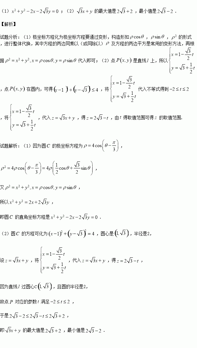
已知直线的参数方程为为参数),以坐标原点为极点,轴的正半轴为极轴建立极坐标系,圆的极坐标方程为.

(1)求圆的直角坐标方程;

(2)若点是直线上位于圆内的动点(含端点),求的最大值和最小值.

练习册系列答案
相关习题

科目:高中数学 来源:2016届重庆一中高三下学期高考适应性考试理科数学试卷(解析版) 题型:解答题

如图所示的几何体中,为三棱柱,且平面,四边形为平行四边形,

(1)若,求证:平面

(2)若,二面角的余弦值为,求三棱锥的体积.

查看答案和解析>>

科目:高中数学 来源:2016年山西省高考冲刺压轴卷三理科数学试卷(解析版) 题型:选择题

已知复数在复平面内的对应点的分别为,则( )

A. B. C. D.

查看答案和解析>>

科目:高中数学 来源:2015-2016学年河北冀州中学高一下期末文科数学试卷(解析版) 题型:选择题

的值是( )

A. B. C.2 D.

查看答案和解析>>

科目:高中数学 来源:2015-2016学年河北冀州中学高一下期末文科数学试卷(解析版) 题型:选择题

已知,那么( )

A. B. C. D.

查看答案和解析>>

科目:高中数学 来源:2016届贵州省招生模拟文科数学试卷(解析版) 题型:解答题

如图1,在直角梯形中, .将沿折起,使平面平面,得到如图2所示的几何体.

(1)求证:平面

(2)求点到平面的距离.

查看答案和解析>>

科目:高中数学 来源:2016届贵州省招生模拟文科数学试卷(解析版) 题型:选择题

经过双曲线右焦点的直线与双曲线交于两点,若,则这样的直线的条数为( )

A.4条 B.3条 C.2条 D.1条

查看答案和解析>>

科目:高中数学 来源:2015-2016学年山东省高一下期中数学试卷(解析版) 题型:填空题

函数的最大值为_________.

查看答案和解析>>

科目:高中数学 来源:2015-2016学年山西大学附中高一下学期3月模块诊断数学试卷(解析版) 题型:解答题

已知在中,

(1)求

(2)判断是锐角三角形还是钝角三角形。

(3)求的值

查看答案和解析>>

同步练习册答案