精英家教网 > 高中数学 > 题目详情

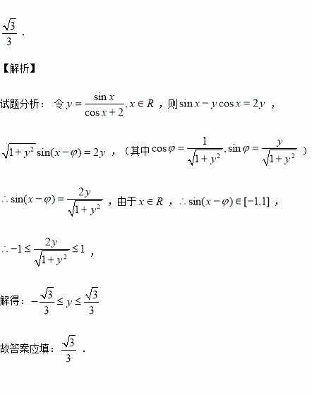
函数的最大值为_________.

练习册系列答案
相关习题

科目:高中数学 来源:2016年山西省高考冲刺压轴卷三理科数学试卷(解析版) 题型:填空题

给出一个如下图所示的程序框图,若要使输入的值与输出的值相等,则这样的值的个数是______.

查看答案和解析>>

科目:高中数学 来源:2016届贵州省招生模拟文科数学试卷(解析版) 题型:解答题

选修4-4:坐标系与参数方程

已知直线的参数方程为为参数),以坐标原点为极点,轴的正半轴为极轴建立极坐标系,圆的极坐标方程为.

(1)求圆的直角坐标方程;

(2)若点是直线上位于圆内的动点(含端点),求的最大值和最小值.

查看答案和解析>>

科目:高中数学 来源:2016届贵州省招生模拟文科数学试卷(解析版) 题型:选择题

一个几何体的三视图如图所示,其中正视图是正三角形,则该几何体的体积为( )

A. B. C. D.

查看答案和解析>>

科目:高中数学 来源:2015-2016学年山东省高一下期中数学试卷(解析版) 题型:解答题

已知向量互相垂直,其中.

(1)求的值;

(2)若,求的值.

查看答案和解析>>

科目:高中数学 来源:2015-2016学年山东省高一下期中数学试卷(解析版) 题型:选择题

已知向量的夹角为120°,且,则方向上的投影为( )

A. B. C. D.

查看答案和解析>>

科目:高中数学 来源:2015-2016学年山东省高一下期中数学试卷(解析版) 题型:选择题

直线与圆相交于两点,则弦的长等于( )

A. B. C. D.

查看答案和解析>>

科目:高中数学 来源:2015-2016学年山西省高二3月月考理科数学试卷(解析版) 题型:选择题

已知双曲线以及双曲线的渐近线将第一象限三等分,则双曲线的离心率为( )

A.2或 B. C.2或 D.

查看答案和解析>>

科目:高中数学 来源:2015-2016学年四川省雅安市高二下期中理科数学试卷(解析版) 题型:选择题

已知函数的图象如右图所示(其中是函数的导函数),下面四个图象中的图象大致是 ( )

查看答案和解析>>

同步练习册答案