精英家教网 > 高中数学 > 题目详情

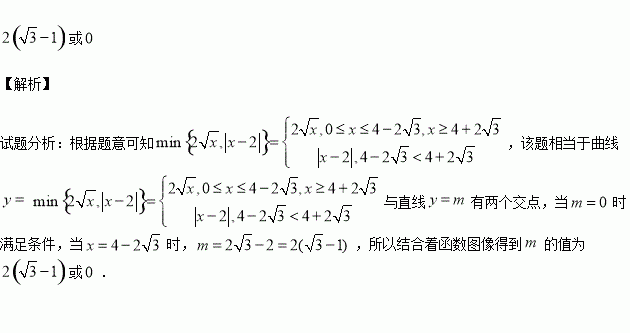
定义,若关于的方程恰有二个不同的实根,则的值为

练习册系列答案
相关习题

科目:高中数学 来源:2016届黑龙江哈尔滨六中高三上期中文科数学试卷(解析版) 题型:解答题

如图,在四棱锥中,⊥平面为线段上的点,

(1)证明:⊥平面

(2)若的中点,求与平面所成的角的正切值.

查看答案和解析>>

科目:高中数学 来源:2015-2016学年四川成都七中高二10月段考理科数学试卷(解析版) 题型:选择题

己知圆,圆,圆与圆的位置关系为( )

A.外切 B.内切 C.相交 D.相离

查看答案和解析>>

科目:高中数学 来源:2014-2015学年浙江省嵊州市高一下学期期末检测数学试卷(解析版) 题型:解答题

(本小题满分10分)

已知

(Ⅰ)求的值;

(Ⅱ)求的值.

查看答案和解析>>

科目:高中数学 来源:2014-2015学年浙江省嵊州市高一竞赛数学试卷(解析版) 题型:填空题

为偶函数,且,则实数的值为

查看答案和解析>>

科目:高中数学 来源:2014-2015学年浙江省嵊州市高二下期末检测文科数学A卷(解析版) 题型:解答题

(本小题满分15分)

等差数列中,

(Ⅰ)求数列的通项公式;

(Ⅱ)设,求数列的前项和

查看答案和解析>>

科目:高中数学 来源:2014-2015学年浙江省嵊州市高二下期末检测理科数学B卷(解析版) 题型:选择题

已知为非零向量,且,则下列命题正确的个数为

(1)若,则 (2)若,则

(3)若,则 (4)若,则

A. B. C. D.

查看答案和解析>>

科目:高中数学 来源:2014-2015学年山西省高二下学期期中文科数学试卷(解析版) 题型:解答题

已知函数f(x)=x3+Ax2﹣9x+1,下列结论中错误的是( )

A. x0∈R,f(x0)=0

B.“A=3”是“﹣3为f(x)的极大值点”的充分不必要条件

C.若x0是f(x)的极小值点,则f(x)在区间(x0,+∞)单调递增

D.若3是f(x)的极值点,则f(x)的单调递减区间是(﹣1,3)

查看答案和解析>>

科目:高中数学 来源:2014-2015学年贵州省高二上学期期中理科数学试卷(解析版) 题型:选择题

“a>0”是“|a|>0”的( )

A.充分不必要条件 B.必要不充分条件

C.充要条件 D.既不充分也不必要条件

查看答案和解析>>

同步练习册答案