精英家教网 > 高中数学 > 题目详情

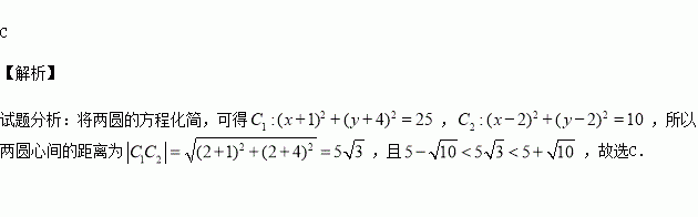
己知圆,圆,圆与圆的位置关系为( )

A.外切 B.内切 C.相交 D.相离

练习册系列答案
相关习题

科目:高中数学 来源:2015-2016学年安徽省高一上学期第一次月考数学试卷(解析版) 题型:选择题

已知函数,则下列哪个函数与函数相等( )

A. B.

C. D.

查看答案和解析>>

科目:高中数学 来源:2016届福建省高三第一次月考文科数学试卷(解析版) 题型:填空题

如图,为测量山高MN,选择A和另一座山的山顶C为测量观测点.从A点测得M点的仰角∠MAN=45°,C点的仰角∠CAB=60°以及∠MAC=75°;从C点测得∠MCA=45°.已知山高BC=100 m,则山高MN=________ m.

查看答案和解析>>

科目:高中数学 来源:2014-2015学年浙江宁波效实中学高三上学期期中理科数学试卷(解析版) 题型:选择题

已知定义在上的函数满足:①;②;③当时,则函数在区间上的零点个数为( )

A.5 B.6 C.7 D.8

查看答案和解析>>

科目:高中数学 来源:2015-2016学年四川成都七中高二10月段考文科数学试卷(解析版) 题型:选择题

右图是一个几何体的三视图,根据图中数据,可得该几何体的表面积是( )

A.9 B.10 C.11 D.12

查看答案和解析>>

科目:高中数学 来源:2015-2016学年江苏省高一上期中考试数学试卷(解析版) 题型:填空题

已知函数满足,则

查看答案和解析>>

科目:高中数学 来源:2014-2015学年四川省高一下学期月考测文科数学试卷(解析版) 题型:解答题

(本题满分14分)设数列的前n项和为,且

(Ⅰ)求数列的通项公式;

(Ⅱ)设数列求数列的前n项和

查看答案和解析>>

科目:高中数学 来源:2014-2015学年浙江省嵊州市高二下期末检测文科数学B卷(解析版) 题型:填空题

定义,若关于的方程恰有二个不同的实根,则的值为

查看答案和解析>>

科目:高中数学 来源:2014-2015学年山西省高二上学期第一次月考数学试卷(解析版) 题型:选择题

如图,在长方体中,,则与平面所成角的正弦值为( )

A. B. C. D.

查看答案和解析>>

同步练习册答案