精英家教网 > 高中数学 > 题目详情

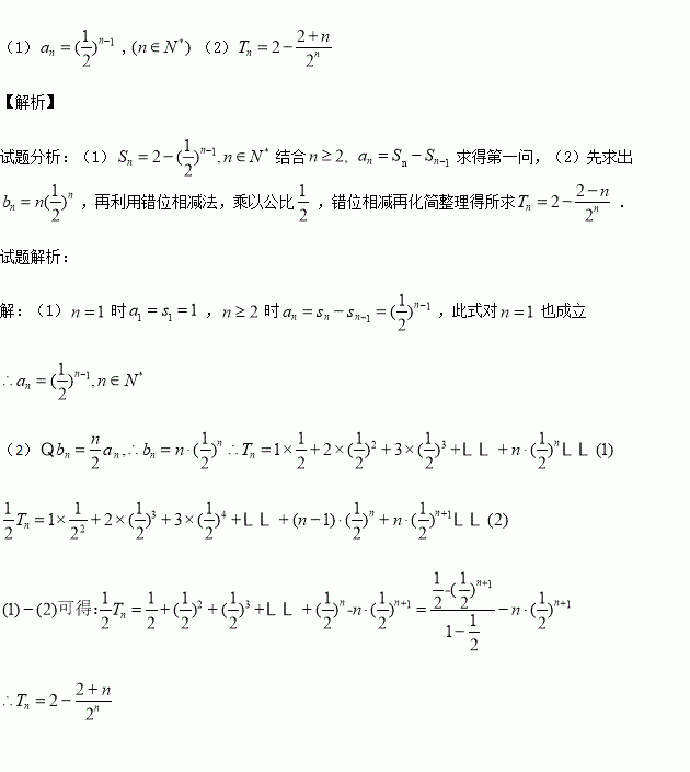
(本题满分14分)设数列的前n项和为,且

(Ⅰ)求数列的通项公式;

(Ⅱ)设数列求数列的前n项和

练习册系列答案
相关习题

科目:高中数学 来源:2016届云南省高三上学期第一次月考理科数学试卷(解析版) 题型:解答题

(本小题满分10分)选修4-5:不等式

已知函数

(1)当时,解不等式

(2)当时,恒成立,求的取值范围.

查看答案和解析>>

科目:高中数学 来源:2014-2015学年浙江宁波效实中学高三上学期期中文科数学试卷(解析版) 题型:填空题

若指数函数的图象过点,则 ;不等式的解集为

查看答案和解析>>

科目:高中数学 来源:2015-2016学年四川成都七中高二10月段考理科数学试卷(解析版) 题型:选择题

己知圆,圆,圆与圆的位置关系为( )

A.外切 B.内切 C.相交 D.相离

查看答案和解析>>

科目:高中数学 来源:2015-2016学年江苏省高一上期中考试数学试卷(解析版) 题型:解答题

(本题满分15分) 已知定义在上的函数

(1)判断并证明函数的单调性;

(2)若是奇函数,求的值;

(3)若的值域为D,且,求的取值范围.

查看答案和解析>>

科目:高中数学 来源:2014-2015学年浙江省嵊州市高一下学期期末检测数学试卷(解析版) 题型:解答题

(本小题满分10分)

已知

(Ⅰ)求的值;

(Ⅱ)求的值.

查看答案和解析>>

科目:高中数学 来源:2014-2015学年浙江省嵊州市高一竞赛数学试卷(解析版) 题型:填空题

为偶函数,且,则实数的值为

查看答案和解析>>

科目:高中数学 来源:2014-2015学年浙江省嵊州市高二下期末检测理科数学B卷(解析版) 题型:选择题

已知为非零向量,且,则下列命题正确的个数为

(1)若,则 (2)若,则

(3)若,则 (4)若,则

A. B. C. D.

查看答案和解析>>

科目:高中数学 来源:2014-2015学年吉林省长春市高一下学期期末理科数学试卷(解析版) 题型:选择题

是直线上的动点,则代数式有( )

A.最小值6 B.最小值8 C.最大值6 D.最大值8

查看答案和解析>>

同步练习册答案