精英家教网 > 高中数学 > 题目详情

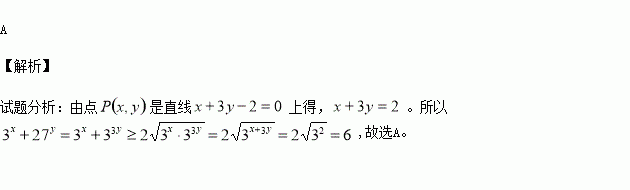
是直线上的动点,则代数式有( )

A.最小值6 B.最小值8 C.最大值6 D.最大值8

练习册系列答案
相关习题

科目:高中数学 来源:2014-2015学年四川省高一下学期月考测文科数学试卷(解析版) 题型:解答题

(本题满分14分)设数列的前n项和为,且

(Ⅰ)求数列的通项公式;

(Ⅱ)设数列求数列的前n项和

查看答案和解析>>

科目:高中数学 来源:2014-2015学年四川省宜宾市高一下学期期末测试数学试卷(解析版) 题型:选择题

已知等差数列中,若则公差=

(A) (B) (C) (D)

查看答案和解析>>

科目:高中数学 来源:2014-2015学年山西省高二上学期第一次月考数学试卷(解析版) 题型:选择题

如图,在长方体中,,则与平面所成角的正弦值为( )

A. B. C. D.

查看答案和解析>>

科目:高中数学 来源:2014-2015学年江西省上饶市等四校高一6月考理科数学试卷(解析版) 题型:选择题

,则等于( )

A、 B、1 C、2 D、4

查看答案和解析>>

科目:高中数学 来源:2014-2015学年湖北武汉一中等重点中学高一下学期期中理科数学试卷(解析版) 题型:选择题

已知,那么等于( )

A. B. C. D.

查看答案和解析>>

科目:高中数学 来源:2014-2015学年贵州省高二上学期期中文科数学试卷(解析版) 题型:选择题

”是“方程表示焦点在轴上的双曲线”的( )。

A.充分而不必要条件 B.必要而不充分条件

C.充分必要条件 D.既不充分也不必要条件

查看答案和解析>>

科目:高中数学 来源:2016届西藏日喀则一中高三10月检测文科数学试卷(解析版) 题型:选择题

满足约束条件,则的最小值是( )

A. B. C. D.

查看答案和解析>>

科目:高中数学 来源:2015-2016学年湖北宜昌一中高二上学期期中理科数学试卷(解析版) 题型:填空题

设变量x,y满足约束条件,则目标函数的取值范围是

查看答案和解析>>

同步练习册答案