精英家教网 > 高中数学 > 题目详情

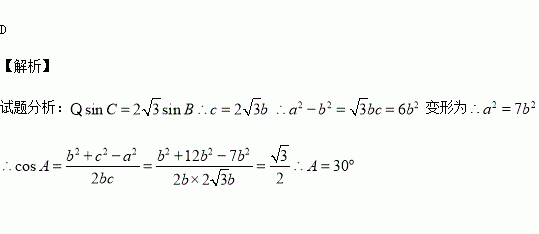
中,内角的对边分别是,若,则=( )

A. B. C. D.

练习册系列答案
相关习题

科目:高中数学 来源:2015-2016学年广东省清远市实验学校高二上学期期中数学试卷(解析版) 题型:选择题

抛掷一枚质地均匀的硬币,如果连续抛掷1000次,则第999次出现正面朝上的概率是( )

A. B. C. D.

查看答案和解析>>

科目:高中数学 来源:2015-2016学年湖南省高二上学期期中考试理科数学试卷(解析版) 题型:选择题

中,是角A,B,C的对边,若成等比数列,,则( )

A. B. C. D.

查看答案和解析>>

科目:高中数学 来源:2015-2016学年福建省高二上学期期中考试理科数学试卷(解析版) 题型:填空题

中,已知角,则外接圆的半径为_______.

查看答案和解析>>

科目:高中数学 来源:2014-2015学年上海市高二下学期期末考试数学试卷(解析版) 题型:填空题

已知,若直线与射线为端点)有交点,则实数的取值范围是

查看答案和解析>>

科目:高中数学 来源:2015-2016学年山东省临沂市高二上期中模拟理数学试卷(解析版) 题型:选择题

设x,y满足约束条件 ,若目标函数的最大值为12,则的最小值为 ( ).

A.4 B. C. D.

查看答案和解析>>

科目:高中数学 来源:2015-2016学年辽宁省大连市高二上期中文科数学试卷(解析版) 题型:选择题

双曲线的离心率为

(A) (B) (C) (D)

查看答案和解析>>

科目:高中数学 来源:2015-2016学年江西省赣州市十三县高二上期中联考理科数学试卷(解析版) 题型:解答题

(本题12分)

如图,三棱柱中,侧棱与底面垂直,,,点的中点.

(1)证明:平面;

(2)问在棱上是否存在点,使平面?若存在,试确定点的位置,并证明你的结论;若不存在,请说明理由.

查看答案和解析>>

科目:高中数学 来源:2016届重庆市高三上学期第三次月考文科数学试卷(解析版) 题型:选择题

已知数列中,,则的前100项和为( )

A.1250 B.1276 C.1289 D.1300

查看答案和解析>>

同步练习册答案