精英家教网 > 高中数学 > 题目详情

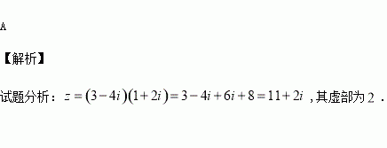
若复数(i是虚数单位),则复数的虚部为( )

A.2 B.-2 C.2i D.-2i

练习册系列答案
相关习题

科目:高中数学 来源:2015-2016学年广东惠州一中高二下期中文科数学试卷(解析版) 题型:选择题

“复数z=在复平面内对应的点在第三象限”是“a≥0”的( )

A.充分不必要条件 B.必要不充分条件

C.充要条件 D.既不充分也不必要条件

查看答案和解析>>

科目:高中数学 来源:2016届安徽省高三下组卷二理科数学试卷(解析版) 题型:选择题

已知满足约束条件,当目标函数在该约束条件下取到最小值为时,的最小值为( )

A.5 B.4 C. D.2

查看答案和解析>>

科目:高中数学 来源:2015-2016学年贵州遵义航天高中高二下期中文科数学试卷(解析版) 题型:填空题

函数处的切线方程为 .

查看答案和解析>>

科目:高中数学 来源:2015-2016学年贵州遵义航天高中高二下期中文科数学试卷(解析版) 题型:选择题

某程序框图如右图所示,则输出的值为( )

A. B. C. D.

查看答案和解析>>

科目:高中数学 来源:2015-2016学年贵州贵阳六中高二下期中理科数学试卷(解析版) 题型:填空题

5位刚毕业的研究生,分到4个单位工作,每个单位至少一人,不同的分法总数为 .(用数字作答)

查看答案和解析>>

科目:高中数学 来源:2015-2016学年贵州贵阳六中高二下期中理科数学试卷(解析版) 题型:选择题

,则等于( )

A.1.6 B.3.2 C.6.4 D.12.8

查看答案和解析>>

科目:高中数学 来源:2015-2016学年贵州贵阳六中高二下期中理科数学试卷(解析版) 题型:选择题

在空间中,已知是直线,是平面,且,则的位置关系是( )

A.平行 B.相交 C.异面 D.平行或异面

查看答案和解析>>

科目:高中数学 来源:2015-2016学年四川绵阳南山中学高二下期中理科数学卷(解析版) 题型:填空题

求值

查看答案和解析>>

同步练习册答案