精英家教网 > 高中数学 > 题目详情

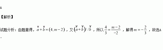
已知向量,且,则( )

A. B. C.-8 D.8

练习册系列答案
相关习题

科目:高中数学 来源: 题型:填空题

13.在△ABC中,cosA=$\frac{1}{2}$,cosB=$\frac{\sqrt{3}}{2}$,则△ABC中三边的比a:b:c=$\sqrt{3}$:1:2.

查看答案和解析>>

科目:高中数学 来源:2017届重庆市高三文上适应性考试一数学试卷(解析版) 题型:选择题

分别为正方形的边的中点,则( )

A. B. C. D.

查看答案和解析>>

科目:高中数学 来源:2017届重庆市高三理上适应性考试一数学试卷(解析版) 题型:填空题

已知为单位向量,其夹角为60°,则_________.

查看答案和解析>>

科目:高中数学 来源:2017届重庆市高三理上适应性考试一数学试卷(解析版) 题型:选择题

中,角的对边分别是,已知,则( )

A. B. C. D.

查看答案和解析>>

科目:高中数学 来源:2017届浙江嘉兴市高三上学期基础测试数学试卷(解析版) 题型:解答题

已知数列的前项和为,若,且,其中

(1)求实数的值和数列的通项公式;

(2)若数列满足,求数列的前项和

查看答案和解析>>

科目:高中数学 来源:2017届浙江嘉兴市高三上学期基础测试数学试卷(解析版) 题型:填空题

已知某几何体的三视图如图所示,则其表面积为 ;体积为

查看答案和解析>>

科目:高中数学 来源:2017届湖南石门县一中高三9月月考数学(文)试卷(解析版) 题型:填空题

已知是线段上异于的一点,均为等边三角形,则的外接圆的半径的最小值是

查看答案和解析>>

科目:高中数学 来源: 题型:选择题

7.设a,b,c大于0,a+b+c=3,则3个数:a+$\frac{1}{b}$,b+$\frac{1}{c}$,c+$\frac{1}{a}$的值(  )
A.都大于2B.至少有一个不大于2
C.都小于2D.至少有一个不小于2

查看答案和解析>>

同步练习册答案