精英家教网 > 高中数学 > 题目详情

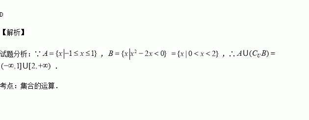
已知集合,则 ( )

(A) (B) (C) (D)

练习册系列答案
相关习题

科目:高中数学 来源:2014-2015学年吉林省高二下学期期末理科数学试卷(解析版) 题型:填空题

若复数z满足,则的值为

查看答案和解析>>

科目:高中数学 来源:2016届山东省高三上学期开学考试理科数学试卷(解析版) 题型:选择题

,则“”是“”的

A.充分非必要条件 B.必要非充分条件

C.充分必要条件 D.既非充分也非必要条件

查看答案和解析>>

科目:高中数学 来源:2016届江西省高三上学期第一次考试理科数学试卷(解析版) 题型:选择题

设点是曲线上的任意一点,P点处切线倾斜角的取值范围

A. B. C. D.

查看答案和解析>>

科目:高中数学 来源:2016届吉林省高三上学期第一次模拟理科数学试卷(解析版) 题型:解答题

(本小题满分10分)选修4-1:几何证明选讲

如图,圆周角的平分线与圆交于点,过点的切线与弦的延长线交于点于点

(1)求证:

(2)若四点共圆,且,求

查看答案和解析>>

科目:高中数学 来源:2016届湖北省高三9月调考文科数学试卷(解析版) 题型:选择题

函数的定义域是( )

A. B. C. D.

查看答案和解析>>

科目:高中数学 来源:2016届湖北省等高三9月联考理科数学试卷(解析版) 题型:填空题

直线(为实常数)与曲线的两个交点A、B的横坐标分别为,且

,曲线E在点A、B处的切线PA、PB与y轴分别交于点M、N.下列结论:

②三角形PAB可能为等腰三角形;

③若点P到直线的距离为,则的取值范围为

④当是函数的零点时,(为坐标原点)取得最小值.

其中正确结论的序号为

查看答案和解析>>

科目:高中数学 来源:2016届河北省高三上第二次月考文科数学试卷B(解析版) 题型:填空题

如图,在平行四边形ABCD中,已知AB=8,AD=5,=3=2,则的值是

查看答案和解析>>

科目:高中数学 来源:2013-2014学年辽宁省高考前最后模拟理科数学试卷(解析版) 题型:填空题

已知双曲线)的焦距为,若顺次组成一个等比数列,则其离心率为

查看答案和解析>>

同步练习册答案