精英家教网 > 高中数学 > 题目详情

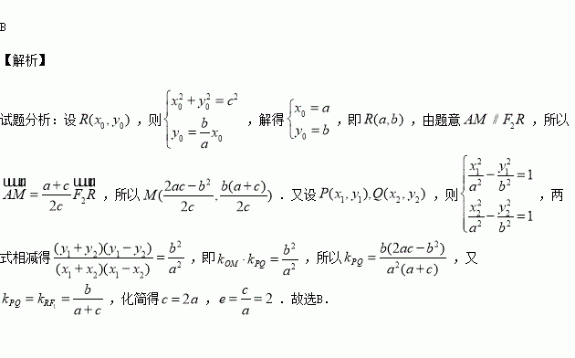
如图,双曲线的右顶点为,左右焦点分别为,点是双曲线右支上一点,交左支于点,交渐近线于点的中点,若,且,则双曲线的离心率是( )

A. B. C. D.

练习册系列答案
相关习题

科目:高中数学 来源:2015-2016学年广东省高一下期中数学试卷(解析版) 题型:填空题

是函数的两个不同的零点,且a,b,-2这三个数可适当排序后成等差数列,也可适当排序后成等比数列,则p+q的值等于________.

查看答案和解析>>

科目:高中数学 来源:2015-2016学年重庆巴蜀中学高二下期中文科数学试卷(解析版) 题型:解答题

如图,在直三棱柱中,平面,其垂足落在直线上.

(1)求证:

(2)若是线段上一点,,三棱锥的体积为,求的值.

查看答案和解析>>

科目:高中数学 来源:2015-2016学年重庆巴蜀中学高二下期中文科数学试卷(解析版) 题型:选择题

,其中都是实数,是虚数单位,则( )

A. B. C. D.

查看答案和解析>>

科目:高中数学 来源:2015-2016学年重庆巴蜀中学高二下期中理科数学试卷(解析版) 题型:解答题

已知正项数列的前项和为,且.

(1)求数列的通项公式;

(2)设为数列的前项和,证明:.

查看答案和解析>>

科目:高中数学 来源:2015-2016学年重庆巴蜀中学高二下期中理科数学试卷(解析版) 题型:选择题

现有种不同的颜色为公民基本道德规范四个主题词(如图) 涂色,要求相邻的词语涂不同颜色,则不同的涂法种数为( )

A. B. C. D.

查看答案和解析>>

科目:高中数学 来源:2015-2016学年福建上杭一中高二下培优补差理科数学试卷(解析版) 题型:解答题

已知函数.

(1)若函数上为减函数,求实数的最小值;

(2)若,使,求实数的取值范围.

查看答案和解析>>

科目:高中数学 来源:2015-2016学年福建上杭一中高二下培优补差理科数学试卷(解析版) 题型:选择题

已知,推测( )

A.109 B.1033 C.199 D.299

查看答案和解析>>

科目:高中数学 来源:2015-2016学年新疆兵团农二师华山中学高二下学前考试理科数学试卷(解析版) 题型:选择题

如图,ABCD—A1B1C1D1是正方体,B1E1=D1F1=,则BE1与DF1所成角的余弦值是( )

A. B. C. D.

查看答案和解析>>

同步练习册答案