精英家教网 > 高中数学 > 题目详情

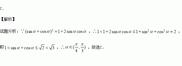
,则( )

A. B. C. D.

练习册系列答案
相关习题

科目:高中数学 来源:2015-2016学年吉林省高一上期中理科数学试卷(解析版) 题型:填空题

已知是定义在上的偶函数,且在 上是增函数,设,则的大小关系是

查看答案和解析>>

科目:高中数学 来源:2016届江西省高三上第三次考试理科数学试卷(解析版) 题型:选择题

等差数列中,为等比数列,且,则的值为( )

A.4 B.2 C.16 D.8

查看答案和解析>>

科目:高中数学 来源:2016届广东省广州市高三上学期期中文科数学试卷(解析版) 题型:选择题

设变量满足约束条件:,则目标函数的取值范围是,则( )

A. B. C. D.

查看答案和解析>>

科目:高中数学 来源:2015-2016学年重庆市高一上学期期中数学试卷(解析版) 题型:选择题

已知集合,那么=( )

A、 B、 C、 D、

查看答案和解析>>

科目:高中数学 来源:2015-2016学年山东省高一上学期期中考试数试卷(解析版) 题型:选择题

已知幂函数的图象过,则( )

A. B. C. D.

查看答案和解析>>

科目:高中数学 来源:2015-2016学年湖南衡阳八中高二上学期期中文科数学试卷(解析版) 题型:解答题

已知函数处有极值,其图像在处的切线与直线平行.

(1)求函数的单调区间;

(2)当时,恒成立,求实数的取值范围.

查看答案和解析>>

科目:高中数学 来源:2015-2016学年河北省高一上学期期中数学试卷(解析版) 题型:解答题

已知角终边上一点

(1)求实数的值;

(2)求的值.

查看答案和解析>>

科目:高中数学 来源:2016届四川省成都市高三11月段测三文科数学试卷(解析版) 题型:解答题

己知椭圆C:=1(a>b>0)的离心率为,以原点为圆心,椭圆的短半轴为半径的圆与直线x-y+=0相切,过点P(4,0)且不垂直于x轴直线,与椭圆C相交于A、B两点.

(1)求椭圆C的方程:

(2)求 的取值范围;

(3)若B点关于x轴的对称点是E,证明:直线AE与x轴相交于定点.

查看答案和解析>>

同步练习册答案