精英家教网 > 高中数学 > 题目详情

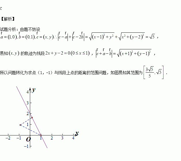
已知向量是单位向量,若,且,则的取值范围是( )

A. B. C. D.

练习册系列答案
相关习题

科目:高中数学 来源:2014-2015学年河北省高一5月月考数学试卷(解析版) 题型:解答题

(本题满分10分)如图,是从上下底面处在水平状态下的棱长为a的正方体ABCD-A1B1C1D1中分离出来的.

(1)∠DC1D1在图中的度数和它表示的角的真实度数都是45°,对吗?

(2)∠A1C1D的真实度数是60°,对吗?

(3)设BC=1 cm,如果用图示中这样一个装置来盛水,那么最多能盛多少体积的水?

查看答案和解析>>

科目:高中数学 来源:2016届四川省高三上学期10月段考理科数学试卷(解析版) 题型:选择题

设函数则使得成立的x的取值范围是( )

A. B.

C. D.

查看答案和解析>>

科目:高中数学 来源:2016届江苏省高三上学期第二次月考理科数学试卷(解析版) 题型:填空题

已知命题,命题,若的充分不必要条件,则实数的范围是

查看答案和解析>>

科目:高中数学 来源:2016届湖北武汉华中师大第一附中高三上期中考试文科数学试卷(解析版) 题型:选择题

已知命题,命题,则( )

A.命题是假命题

B.命题是真命题

C.命题是真命题

D.命题是假命题

查看答案和解析>>

科目:高中数学 来源:2016届湖北省、宜昌一中高三10月联考文科数学试卷(解析版) 题型:选择题

一个大风车的半径为旋转一周,它的最低点离地面 ,风车翼片的一个端点开始按逆时针方向旋转,则点离地面距离与时间之间的函数关系式是( )

A.

B.

C.

D.

查看答案和解析>>

科目:高中数学 来源:2016届湖北省、宜昌一中高三10月联考理科数学试卷(解析版) 题型:选择题

已知复数,则复数在复平面内对应的点位于 ( )

A.第一象限 B.第二象限 C.第三象限 D.第四象限

查看答案和解析>>

科目:高中数学 来源:2015-2016学年甘肃省嘉峪关市高二上学期期中考试文科数学试卷(解析版) 题型:填空题

已知实数满足约束条件的最大值等于___.

查看答案和解析>>

科目:高中数学 来源:2016届河南省原名校高三上学期第一次联考文科数学试卷(解析版) 题型:填空题

已知点,则向量方向上的投影为

查看答案和解析>>

同步练习册答案