精英家教网 > 高中数学 > 题目详情

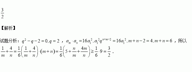
正项等比数列中,, 若存在两项使得,则的最小值是

练习册系列答案
相关习题

科目:高中数学 来源:2017届河南郑州一中网校高三入学测试数学(理)试卷(解析版) 题型:解答题

已知

(1)求函数的单调递增区间;

(2)在锐角的三个角所对的边分别为,且,求的取值范围.

查看答案和解析>>

科目:高中数学 来源:2017届贵州遵义市高三第一次联考数学(理)试卷(解析版) 题型:解答题

已知函数.

(1)若函数在区间上单调递减,求实数的取值范围;

(2)若对任意的,恒有,求实数的取值范围.

查看答案和解析>>

科目:高中数学 来源:2017届贵州遵义市高三第一次联考数学(理)试卷(解析版) 题型:选择题

下列命题中的假命题为( )

A.设为两个不同平面,若直线在平面内,则“”是“”的必要不充分条件;

B.设随机变量服从正态分布,若,则

C.

D.要得到函数的图象,只需将函数的图象向左平移个单位长度.

查看答案和解析>>

科目:高中数学 来源:2016-2017学年山西怀仁县一中高二上期开学考文数学试卷(解析版) 题型:解答题

已知数列的前项和为,且.

(1)证明:数列是等差数列, 并求出数列的通项公式;

(2)求数列的前项和为.

查看答案和解析>>

科目:高中数学 来源:2016-2017学年山西怀仁县一中高二上期开学考文数学试卷(解析版) 题型:选择题

等比数列中, 对任意,则( )

A. B. C. D.

查看答案和解析>>

科目:高中数学 来源:2016-2017学年山西怀仁县一中高二上期开学考文数学试卷(解析版) 题型:选择题

已知向量,若,则实数( )

A. B. C. D.

查看答案和解析>>

科目:高中数学 来源:2016-2017学年山西怀仁县一中高二上期开学考理数学试卷(解析版) 题型:选择题

已知函数,其图象相邻两条对称轴之间的距离为,且函数是偶函数.下列判断正确的是( )

A.函数的最小正周期为

B.函数的图象关于点对称

C.函数的图象关于对称

D.函数上单调递增

查看答案和解析>>

科目:高中数学 来源:2015-2016学年山东济南一中高一下学期期末数学试卷(解析版) 题型:填空题

设向量 ,则的夹角等于

查看答案和解析>>

同步练习册答案