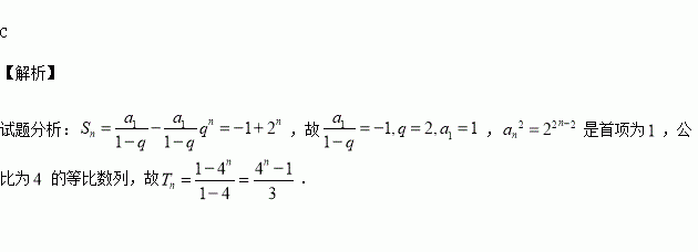
精英家教网 > 高中数学 > 题目详情

等比数列中, 对任意,则( )

A. B. C. D.

练习册系列答案
相关习题

科目:高中数学 来源:2017届河南郑州一中网校高三入学测试数学(理)试卷(解析版) 题型:选择题

已知函数存在单调递减区间,且的图象在处的切线与曲线相切,符合情况的切线( )

A.有3条 B.有2条 C.有1条 D.不存在

查看答案和解析>>

科目:高中数学 来源:2017届贵州遵义市高三第一次联考数学(理)试卷(解析版) 题型:填空题

已知数列的首项和为,且,则

查看答案和解析>>

科目:高中数学 来源:2016-2017学年山西怀仁县一中高二上期开学考文数学试卷(解析版) 题型:解答题

中,角的对边分别为,已知.

(1)求

(2)若,求的取值范围.

查看答案和解析>>

科目:高中数学 来源:2016-2017学年山西怀仁县一中高二上期开学考文数学试卷(解析版) 题型:填空题

正项等比数列中,, 若存在两项使得,则的最小值是

查看答案和解析>>

科目:高中数学 来源:2016-2017学年山西怀仁县一中高二上期开学考文数学试卷(解析版) 题型:选择题

在等差数列中,若( )

A. B. C. D.

查看答案和解析>>

科目:高中数学 来源:2016-2017学年山西怀仁县一中高二上期开学考理数学试卷(解析版) 题型:解答题

已知数列的前项和为,且.

(1)证明:数列是等差数列,并求出数列的通项公式;

(2)求数列的前项和为.

查看答案和解析>>

科目:高中数学 来源:2016-2017学年山西怀仁县一中高二上期开学考理数学试卷(解析版) 题型:选择题

已知向量,若,则实数( )

A. B. C. D.

查看答案和解析>>

科目:高中数学 来源:2015-2016学年山东济南一中高一下学期期末数学试卷(解析版) 题型:选择题

从甲、乙等5名学生中随机选出2人,则甲被选中的概率为( )

A. B. C. D.

查看答案和解析>>

同步练习册答案