精英家教网 > 高中数学 > 题目详情

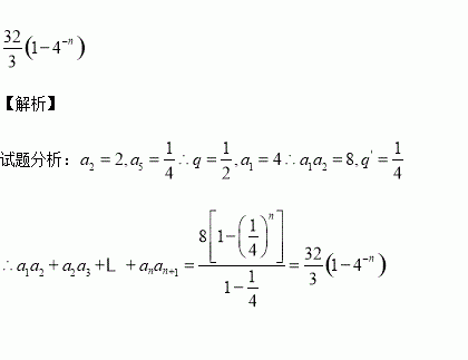
数列是等比数列,若,则_______.

练习册系列答案
相关习题

科目:高中数学 来源:2015-2016学年湖南株洲二中高二上第三次月考文数学卷(解析版) 题型:选择题

在区间上随机选取一个数,则的概率为( )

A、 B、 C、 D、

查看答案和解析>>

科目:高中数学 来源:2015-2016学年湖南师大附中高二上第二次段测理科数学卷(解析版) 题型:选择题

“x>a”是“x>-1”成立的充分不必要条件( )

A.a的值可以是

B.a的值可以是-1

C.a的值可以是-2

D.a的值可以是-3

查看答案和解析>>

科目:高中数学 来源:2016届浙江省临海市高三上第三次统练文科数学试卷(解析版) 题型:选择题

为等差数列项和,若,则该数列的首项等于( )

A. B. C. D.

查看答案和解析>>

科目:高中数学 来源:2015-2016学年湖北航天高中等校高二上学期期中联考数学试卷(解析版) 题型:选择题

如图所示方格,在每一个方格中填入一个数字,数字可以是中的任何一个,允许重复,则填入方格的数字大于方格的数字的概率为( )

A. B. C. D.

查看答案和解析>>

科目:高中数学 来源:2015-2016学年河北省邯郸市等校高二上学期期中理科数学试卷(解析版) 题型:选择题

已知为等差数列,且则公差( )

A.-2 B. C. D.2

查看答案和解析>>

科目:高中数学 来源:2015-2016学年山东省高二上学期期中考试理科数学试卷(解析版) 题型:解答题

某批发站全年分批购入每台价值为3000 元的电脑共4000台,每批都购入台,且每批均需付运费360元,储存电脑全年所付保管费与每批购入电脑的总价值(不含运费)成正比,若每批购入400台,则全年需用去运费和保管费共43600元,现在全年只有24000元资金可以用于支付这笔费用(运费和保管费),请问能否恰当安排进货数量使资金够用?写出你的结论,并说明理由.

查看答案和解析>>

科目:高中数学 来源:2015-2016学年湖北省襄阳市等高一上学期期中联考数学试卷(解析版) 题型:解答题

已知上的奇函数,上的偶函数,且满足

(1)求的解析式,指出的单调性(单调性不要求证明);

(2)若关于不等式恒成立,求的取值范围;

(3)若上有唯一零点,求的取值范围.

查看答案和解析>>

科目:高中数学 来源:2016届辽宁省大连市高三12月月考文科数学试卷(解析版) 题型:选择题

在平面直角坐标系中,设点为圆上的任意一点,点,其中,则线段长度的最小值为( )

A. B. C. D.

查看答案和解析>>

同步练习册答案