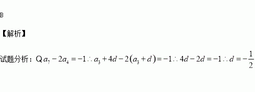
精英家教网 > 高中数学 > 题目详情

已知为等差数列,且则公差( )

A.-2 B. C. D.2

练习册系列答案
相关习题

科目:高中数学 来源:2015-2016学年山东省高二上学情调查文科数学卷(解析版) 题型:填空题

下列四个命题:

①抛物线的焦点坐标是

②等差数列中,成等比数列,则公比为

③已知,则的最小值为

④在中,已知,则

正确命题的序号有

查看答案和解析>>

科目:高中数学 来源:2015-2016学年福建省高一上第二次月考数学试卷(解析版) 题型:填空题

函数的定义域为

查看答案和解析>>

科目:高中数学 来源:2015-2016学年湖北航天高中等校高二上学期期中联考数学试卷(解析版) 题型:选择题

下表提供了某厂节能降耗技术改造后在生产甲产品过程中记录的产量(吨)与相应的生产

能耗(吨)的几组对应数据:

3

4

5

6

2.5

3

4.5

若根据上表提供的数据用最小二乘法可求得的回归直线方程是0.7+0.35,则表中的值为( )

A.4 B.4.5 C.3 D.3.5

查看答案和解析>>

科目:高中数学 来源:2015-2016学年河北省邯郸市等校高二上学期期中文科数学试卷(解析版) 题型:填空题

数列是等比数列,若,则_______.

查看答案和解析>>

科目:高中数学 来源:2015-2016学年山东省高二上学期期中考试文科数学试卷(解析版) 题型:选择题

已知实数满足如果目标函数 的最小值为-1,则实数等于( )

A.7 B.5 C.4 D.3

查看答案和解析>>

科目:高中数学 来源:2015-2016学年湖北省等高二上学期期中联考文科数学试卷(解析版) 题型:填空题

定义某种运算,运算原理如图所示,则式子的值为____.

查看答案和解析>>

科目:高中数学 来源:2015-2016学年山东省枣庄市高二10月学情调查数学试卷(解析版) 题型:解答题

如图,某人在塔的正东方向上的处在与塔垂直的水平面内沿南偏西的方向以每小时千米的速度步行了分钟以后,在点处望见塔的底端在东北方向上,已知沿途塔的仰角的最大值为

(1)求该人沿南偏西的方向走到仰角最大时,走了几分钟;

(2)求塔的高

查看答案和解析>>

科目:高中数学 来源:2016届辽宁省大连市高三12月月考理科数学试卷(解析版) 题型:填空题

若圆台上底面半径为5cm,下底面半径为10cm,母线AB(点A在下底面圆周上,点B在上底面圆周上)长为20cm,从AB中点拉一根绳子绕圆台侧面转到A,则绳子最短的长度

查看答案和解析>>

同步练习册答案