精英家教网 > 高中数学 > 题目详情
已知{an}是首项为2,公比为的等比数列,Sn为它的前n项和,
(1)用Sn表示Sn+1
(2)是否存在自然数c和k,使得成立.
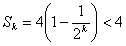
解:(1)由,得
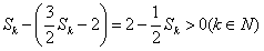
(2)要使,只要
因为,所以
故只要, ①
因为,所以
,故要使①成立,c只能取2或3,
当c=2时,因为,所以当k=1时,不成立,从而①不成立;
因为,由,得
所以当k≥2时,,从而①不成立;
当c=3时,因为
所以当k=1,2时,不成立,从而①不成立;
因为,又
所以当k≥3时,,从而①不成立;
故不存在自然数c、k,使成立。
练习册系列答案
相关习题

科目:高中数学 来源: 题型:

已知{an}是首项为19,公差为-2的等差数列,sn为{an}的前n项和.
(1)求通项an及sn
(2)设{bn-an}是首项为1,公比为3的等比数列,求数列{bn}的通项公式及其前n项和Tn

查看答案和解析>>

科目:高中数学 来源: 题型:

已知{an}是首项为1的等比数列,Sn是{an}的前n项和,且9S3=S6,则数列{
1
an
}
的前5项和为(  )
A、
85
32
B、
31
16
C、
15
8
D、
85
2

查看答案和解析>>

科目:高中数学 来源: 题型:

已知{an}是首项为1的等差数列,其公差d>0,且a3,a7+2,3a9成等比数列.
(1)求数列{an}的通项公式;
(2)设数列{an}的前n项和为Sn,求f(n)=
Sn(n+6) Sn+1
的最大值.

查看答案和解析>>

科目:高中数学 来源: 题型:

已知{an}是首项为1的等比数列,sn是{an}的前n项和,且8a3=a6,则数列{an}的前5项和为(  )

查看答案和解析>>

科目:高中数学 来源: 题型:

已知{an}是首项为a1,公比为q(q≠1)的等比数列,其前n项和为Sn,且有
S10
S5
=
33
32
,设bn=2q+Sn
(1)求q的值;
(2)数列{bn}能否为等比数列?若能,请求出a1的值;若不能,请说明理由;
(3)在(2)的条件下,求数列{nbn}的前n项和Tn

查看答案和解析>>

同步练习册答案