精英家教网 > 高中数学 > 题目详情

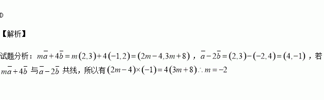
已知向量,若共线,则的值为( )

A. B.2 C.- D.-2

练习册系列答案
相关习题

科目:高中数学 来源:2015-2016学年湖北武汉二中高二上学期期中理科数学试卷(解析版) 题型:填空题

已知圆,圆,直线分别过圆心,且 与圆相交于与圆相交于是椭圆上的任意一动点,则的最小值为______________.

查看答案和解析>>

科目:高中数学 来源:2014-2015学年海南省高三下学期大测三文科数学试卷(解析版) 题型:选择题

点M(χ0,)是抛物线χ2=2P(P>0)上一点, 若点M到该抛物线的焦点的距离为2,

则点M到坐标原点的距离为( )

A、 B、 C、 D、

查看答案和解析>>

科目:高中数学 来源:2015-2016学年江苏省高二上第一次联考数学试卷(解析版) 题型:填空题

已知直线经过点,且原点到它的距离为5,则直线的方程为

查看答案和解析>>

科目:高中数学 来源:2015-2016学年湖北省黄石市高二10月月考文科数学试卷(解析版) 题型:解答题

(本小题满分12分)已知等比数列满足:

(1)求数列的通项公式;

(2)是否存在正整数,使得?若存在,求的最小值;若不存在,说明理由.

查看答案和解析>>

科目:高中数学 来源:2015-2016学年河北省定州市高二上学期竞赛数学试卷(解析版) 题型:选择题

若点M到x轴的距离和它到直线y=8的距离相等,则点M的轨迹方程是( )

A.x=-4 B.x=4 C.y=-4 D.y=4

查看答案和解析>>

科目:高中数学 来源:2014-2015学年四川省高二下学期4月月考理科数学试卷(解析版) 题型:解答题

树德中学的机器人代表队在刚结束的全国总决赛中脱颖而出,取得控制奖全国第一的骄人成绩.该代表队由高二的三名男生和一名女生以及高一的两名男生组成.

(1)在赛后的颁奖典礼上,这六位同学排成一排拍照留念,要求女生不站两边,且高一的两名男生不相邻,则这样的排法有多少种?

(2)在赛前的宣传活动中,主办方准备将5份不同的宣传资料全部分发给高二的三名男生,则这三个男生每人至少拿到一份的概率为多少?

查看答案和解析>>

科目:高中数学 来源:2014-2015学年湖北武汉外国语学校高二上学期期中考试文科数学试卷(解析版) 题型:填空题

“若a≤b,则ac2≤bc2”,则命题的原命题、逆命题、否命题和逆否命题中正确命题的个数是________.

查看答案和解析>>

科目:高中数学 来源:2016届四川省高三上学期10月段考文科数学试卷(解析版) 题型:解答题

(本题满分12分)设函数f(x)=

(1)求函数f(x)的单调区间;

(2)若当x∈[-2,2]时,不等式f(x)<m恒成立,求实数m的取值范围

查看答案和解析>>

同步练习册答案