精英家教网 > 高中数学 > 题目详情

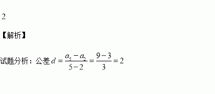
已知数列为等差数列,,则公差为

练习册系列答案
相关习题

科目:高中数学 来源:2016届山东师大附中高三上学期二模文科数学试卷(解析版) 题型:填空题

,内角A,B的对边分别为,则三角形ABC的形状为________.

查看答案和解析>>

科目:高中数学 来源:2014-2015学年浙江宁波效实中学高三上学期期中理科数学试卷(解析版) 题型:选择题

函数上的单调递减函数,则实数的取值范围是( )

A. B. C. D.

查看答案和解析>>

科目:高中数学 来源:2015-2016学年江苏省高一上期中考试数学试卷(解析版) 题型:解答题

(本题满分16分)已知函数)在区间上有最大值和最小值.设

(1)求的值;

(2)若不等式上恒成立,求实数的取值范围;

(3)若有三个不同的实数解,求实数的取值范围.

查看答案和解析>>

科目:高中数学 来源:2014-2015学年四川省高一下学期月考测文科数学试卷(解析版) 题型:填空题

不等式的解集是:__ __

查看答案和解析>>

科目:高中数学 来源:2014-2015学年浙江省嵊州市高一竞赛数学试卷(解析版) 题型:填空题

表示集合中元素的个数,定义已知,若,则实数的取值范围为

查看答案和解析>>

科目:高中数学 来源:2014-2015学年浙江省嵊州市高二下期末检测文科数学B卷(解析版) 题型:选择题

若数列是首项为1,公比为的等比数列,则等于

A. B. C. D.

查看答案和解析>>

科目:高中数学 来源:2014-2015学年四川省宜宾市高一下学期期末测试数学试卷(解析版) 题型:解答题

(本小题满分12分)(注意: 在试题卷上作答无效)

已知函数.

的最小正周期;

上的最值.

查看答案和解析>>

科目:高中数学 来源:2014-2015学年湖北武汉一中等重点中学高一下学期期中理科数学试卷(解析版) 题型:选择题

已知,则的值为( )

A. B. C. D.

查看答案和解析>>

同步练习册答案