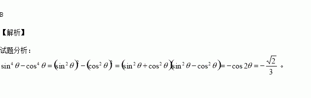
精英家教网 > 高中数学 > 题目详情

已知,则的值为( )

A. B. C. D.

练习册系列答案
相关习题

科目:高中数学 来源:2014-2015学年浙江省嵊州市高一下学期期末检测数学试卷(解析版) 题型:填空题

已知数列为等差数列,,则公差为

查看答案和解析>>

科目:高中数学 来源:2014-2015学年山西省高二下学期期中文科数学试卷(解析版) 题型:选择题

执行如图所示的程序框图,则输出的k的值为( )

A.4 B.5 C.6 D.7

查看答案和解析>>

科目:高中数学 来源:2014-2015学年江西省上饶市等四校高一6月考理科数学试卷(解析版) 题型:选择题

已知弧度数为2的圆心角所对的弦长也是2,则这个圆心角所对的弧长是( )

A、2 B、 C、 D、

查看答案和解析>>

科目:高中数学 来源:2014-2015学年湖北武汉一中等重点中学高一下学期期中理科数学试卷(解析版) 题型:解答题

数列的首项为,前n项和为,且,设,cn=k+b1+b2+…+bn(k∈R+).

(1)求数列{an}的通项公式;

(2)当t=1时,若对任意n∈N*,|bn|≥|b3|恒成立,求a的取值范围;

(3)当t≠1时,试求三个正数a,t,k的一组值,使得{cn}为等比数列,且a,t,k成等差数列.

查看答案和解析>>

科目:高中数学 来源:2014-2015学年贵州省高二上学期期中文科数学试卷(解析版) 题型:选择题

双曲线的焦距为( )。

A. B. C. D.

查看答案和解析>>

科目:高中数学 来源:2014-2015学年甘肃省高一下学期期中考试数学试卷(解析版) 题型:解答题

(满分10分))已知角的终边经过点P(,3),

(1)求的值;

(2)求的值.

查看答案和解析>>

科目:高中数学 来源:2015-2016学年重庆市高一10月月考数学试卷(解析版) 题型:解答题

(本小题满分12分,(Ⅰ)小问6分,(Ⅱ)小问6分)

已知二次函数的图象过点,且不等式的解集为

(Ⅰ)求的解析式;

(Ⅱ)设,若上是单调函数,求实数m的取值范围.

查看答案和解析>>

科目:高中数学 来源:2015-2016学年河北衡水冀州中学高二上期中文科数学B卷(解析版) 题型:选择题

已知数列…,则数列 的前项的和=( )

A. B. C. D.

查看答案和解析>>

同步练习册答案