精英家教网 > 高中数学 > 题目详情

(本小题满分12分,(Ⅰ)小问6分,(Ⅱ)小问6分)

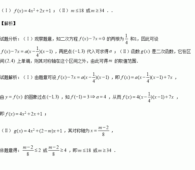
已知二次函数的图象过点,且不等式的解集为

(Ⅰ)求的解析式;

(Ⅱ)设,若上是单调函数,求实数m的取值范围.

练习册系列答案
相关习题

科目:高中数学 来源:2014-2015学年四川省宜宾市高一下学期期末测试数学试卷(解析版) 题型:解答题

(本小题满分12分)(注意: 在试题卷上作答无效)

已知函数.

的最小正周期;

上的最值.

查看答案和解析>>

科目:高中数学 来源:2014-2015学年湖北武汉一中等重点中学高一下学期期中理科数学试卷(解析版) 题型:选择题

已知,则的值为( )

A. B. C. D.

查看答案和解析>>

科目:高中数学 来源:2016届西藏日喀则一中高三10月检测文科数学试卷(解析版) 题型:解答题

(本小题满分10分)选修4—4:坐标系与参数方程

在直角坐标系中,圆的参数方程为参数).以为极点,轴的非负半轴为极轴建立极坐标系.

(1)求圆的极坐标方程;

(2)直线的极坐标方程是,射线与圆的交点为,与直线的交点为,求线段的长.

查看答案和解析>>

科目:高中数学 来源:2016届西藏日喀则一中高三10月检测理科数学试卷(解析版) 题型:解答题

(本小题满分12分)甲、乙两袋中各装有大小相同的小球个,其中甲袋中红色、黑色、白色小球的个数分别为,乙袋中红色、黑色、白色小球的个数均为,某人用左右手分别从甲、乙两袋中取球.

(1)若左右手各取一球,求两只手中所取的球颜色不同的概率;

(2)若左右手依次各取两球,称同一手中两球颜色相同的取法为成功取法,记两次取球的成功取法次数为随机变量,求的分布列和数学期望.

查看答案和解析>>

科目:高中数学 来源:2015-2016学年浙江省高一10月月考数学试卷(解析版) 题型:解答题

(本题满分15分)已知函数

(1)当,且上的增函数,求实数的取值范围;

(2)当,且对任意实数,关于的方程总有三个不相等的实数根,求实数的取值范围.

查看答案和解析>>

科目:高中数学 来源:2015-2016学年山西康杰中学高一上学期期中考试数学试卷(解析版) 题型:填空题

若函数的定义域为[-2,3],则函数的定义域为

查看答案和解析>>

科目:高中数学 来源:2015-2016学年湖北宜昌市高一上期中考试数学试卷(解析版) 题型:选择题

定义两种运算: ,则函数的解析式为

A.

B.

C.

D.

查看答案和解析>>

科目:高中数学 来源:2014-2015学年陕西省西安市高三上学期期中考试文科数学试卷(解析版) 题型:选择题

,那么的取值范围是( )

A. B. C. D.

查看答案和解析>>

同步练习册答案