精英家教网 > 高中数学 > 题目详情

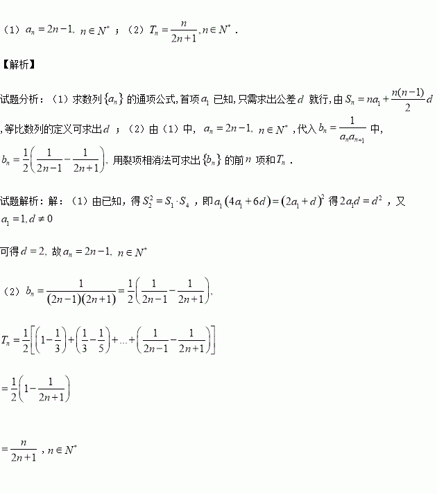
已知为公差不为的等差数列的前项和,且成等比数列.

(1)求数列的通项公式;

(2)设,求的前项和.

练习册系列答案
相关习题

科目:高中数学 来源:2015-2016学年贵州省高二下期中数学试卷(解析版) 题型:选择题

已知向量,则( )

A. B.3 C. D.

查看答案和解析>>

科目:高中数学 来源:2015-2016学年湖南长郡中学高一下期中数学试卷(解析版) 题型:选择题

已知点在圆外,则直线与圆的位置关系是 ( )

A.相切 B.相交 C.相离 D.不确定

查看答案和解析>>

科目:高中数学 来源:2015-2016学年江苏泰州中学高二下第一次质检理科数学卷(解析版) 题型:填空题

从4名男生和名女生中任选2名学生参加数学竞赛,已知“2人中至少有1名女生”的概率为,则等于_______.

查看答案和解析>>

科目:高中数学 来源:2015-2016学年江苏泰州中学高二下第一次质检理科数学卷(解析版) 题型:填空题

执行如图所示的流程图,若输入的值为8,则输出的值为_________.

查看答案和解析>>

科目:高中数学 来源:2015-2016学年河北省高二4月月考文科数学试卷(解析版) 题型:填空题

查看答案和解析>>

科目:高中数学 来源:2015-2016学年河北省高二4月月考文科数学试卷(解析版) 题型:选择题

已知等差数列的前项和为,若三点共线(该直线不过原点),则( )

A. B. C. D.

查看答案和解析>>

科目:高中数学 来源:2015-2016学年河北省高二4月月考理科数学试卷(解析版) 题型:选择题

定义在上的函数满足,当时,,函数,若,不等式成立,则实数的取值范围是( )

A. B. C. D.

查看答案和解析>>

科目:高中数学 来源:2015-2016学年山西省高二下期中理科数学试卷(解析版) 题型:填空题

曲线与直线所围成的平面图形的面积为 .

查看答案和解析>>

同步练习册答案