精英家教网 > 高中数学 > 题目详情

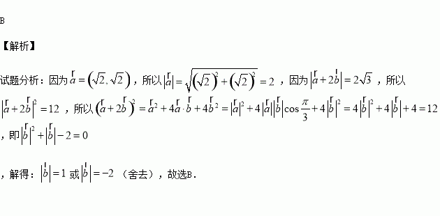
若向量的夹角为,则( )

A. B. C. D.

练习册系列答案
相关习题

科目:高中数学 来源:2015-2016年重庆巴蜀中学高一上学期10月月考数学试卷(解析版) 题型:填空题

满足条件{1,2}∪A={1,2,3,4,5}的集合A的个数为

查看答案和解析>>

科目:高中数学 来源:2015-2016学年湖北荆州中学高二上学期期中文科数学试卷(解析版) 题型:选择题

某店一个月的收入和支出总共记录了个数据,其中收入记为正数,支出记为负数.该店用右边的程序框图计算月总收入和月净盈利,那么在图中空白的判断框和处理框中,应分别填入下列四个选项中的( )

A. B.

C. D.

查看答案和解析>>

科目:高中数学 来源:2016届广东省惠州市高三上学期第二次调研考试理科数学试卷(解析版) 题型:选择题

已知两个非零单位向量的夹角为,则下列结论不正确的是( )

(A)方向上的投影为

(B)

(C)

(D)

查看答案和解析>>

科目:高中数学 来源:2014-2015学年海南省高三下学期大测三理科数学试卷(解析版) 题型:解答题

(本小题满分10分)选修4—1:几何证明选讲

如图,在直径的延长线上任取一点,过点做直线交于点,在上取一点,使,连接,交

(1)求证:四点共圆;

(2)若,求的值.

查看答案和解析>>

科目:高中数学 来源:2015-2016学年江苏省高一上第一次联考数学试卷(解析版) 题型:填空题

函数的定义域为

查看答案和解析>>

科目:高中数学 来源:2015-2016学年江苏省高二上学期第一次学情调研数学试卷(解析版) 题型:填空题

设等比数列的前项和为,若成等差数列,且,其中,则的值为

查看答案和解析>>

科目:高中数学 来源:2014-2015学年浙江省等三校高一上学期期中考试数学试卷(解析版) 题型:填空题

若函数,则的值为

查看答案和解析>>

科目:高中数学 来源:2014-2015学年广东省揭阳市高一下学期第二次段考理科数学试卷(解析版) 题型:填空题

求值:

查看答案和解析>>

同步练习册答案