精英家教网 > 高中数学 > 题目详情

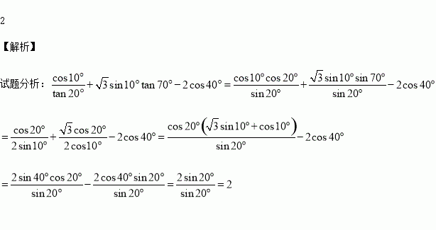
求值:

练习册系列答案
相关习题

科目:高中数学 来源:2014-2015学年海南省高三下学期大测三理科数学试卷(解析版) 题型:选择题

若向量的夹角为,则( )

A. B. C. D.

查看答案和解析>>

科目:高中数学 来源:2014-2015学年陕西省西安市高一上学期期中考试数学试卷(解析版) 题型:选择题

函数的零点所在的区间是( )

A. B. C. D.

查看答案和解析>>

科目:高中数学 来源:2014-2015学年河北省高一5月月考数学试卷(解析版) 题型:解答题

(本题满分10分)如图,是从上下底面处在水平状态下的棱长为a的正方体ABCD-A1B1C1D1中分离出来的.

(1)∠DC1D1在图中的度数和它表示的角的真实度数都是45°,对吗?

(2)∠A1C1D的真实度数是60°,对吗?

(3)设BC=1 cm,如果用图示中这样一个装置来盛水,那么最多能盛多少体积的水?

查看答案和解析>>

科目:高中数学 来源:2014-2015学年广东省湛江市高一下学期期末考试数学试卷(解析版) 题型:填空题

已知平面向量a,则 _________.

查看答案和解析>>

科目:高中数学 来源:2014-2015学年山西省高一下期末数学试卷(解析版) 题型:填空题

为正实数,是定义在上的奇函数,当时,,若对一切x>0成立,则的取值范围为

查看答案和解析>>

科目:高中数学 来源:2016届云南省高三适应性月考二文科数学试卷(解析版) 题型:填空题

已知且满足约束条件,则的最小值为

查看答案和解析>>

科目:高中数学 来源:2016届四川省高三上学期10月段考理科数学试卷(解析版) 题型:选择题

设函数则使得成立的x的取值范围是( )

A. B.

C. D.

查看答案和解析>>

科目:高中数学 来源:2016届湖北省、宜昌一中高三10月联考理科数学试卷(解析版) 题型:选择题

已知复数,则复数在复平面内对应的点位于 ( )

A.第一象限 B.第二象限 C.第三象限 D.第四象限

查看答案和解析>>

同步练习册答案