精英家教网 > 高中数学 > 题目详情

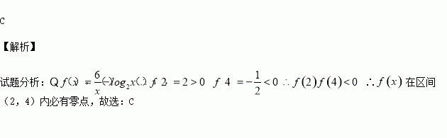
已知函数,在下列区间中,包含零点的区间是( )

A. B. C. D.

练习册系列答案
相关习题

科目:高中数学 来源:2015-2016学年河北省高二下期中理科数学试卷(解析版) 题型:选择题

函数,那么=( )

A.1 B. C. D.

查看答案和解析>>

科目:高中数学 来源:2015-2016学年河北省高一3月月考数学试卷(解析版) 题型:选择题

黑板上有一道有正解的解三角形的习题,一位同学不小心把其中一部分擦去了,现在只能看到:在△ABC中,角A、B、C的对边分别为a、b、c,已知a=2,…,解得,根据以上信息,你认为下面哪个选项可以作为这个习题的其余已知条件( )

A.A=30°,B=45° B.

C.B=60°,c=3 D.C=75°,A=45°

查看答案和解析>>

科目:高中数学 来源:2015-2016学年安徽省高二下周末检测三文数学卷(解析版) 题型:解答题

已知函数,若存在实数满足,其中,则的取值范围是.

查看答案和解析>>

科目:高中数学 来源:2015-2016学年安徽省高二下周末检测三文数学卷(解析版) 题型:选择题

已知函数单调递减,则的取值范围是( )

A. B. C. D.

查看答案和解析>>

科目:高中数学 来源:2015-2016学年重庆八中高二下阶段性检测五文科数学试卷(解析版) 题型:解答题

在极坐标系中,曲线有且只有一个公共点.

(1)求

(2)为极点,上的两点,且,求的最大值.

查看答案和解析>>

科目:高中数学 来源:2015-2016学年重庆八中高二下阶段性检测五文科数学试卷(解析版) 题型:填空题

设函数的最大值为,最小值为,则____________.

查看答案和解析>>

科目:高中数学 来源:2015-2016学年福建上杭一中高一下期末模拟二数学试卷(解析版) 题型:解答题

设函数)的两个相邻的对称中心分别为

(1)求的解析式;

(2)求函数图象的对称轴方程;

(3)用五点法作出函数上的简图.

查看答案和解析>>

科目:高中数学 来源:2016届辽宁省高三四模文科数学试卷(解析版) 题型:选择题

已知向量满足,且,则的夹角为( )

A. B. C. D.

查看答案和解析>>

同步练习册答案