精英家教网 > 高中数学 > 题目详情

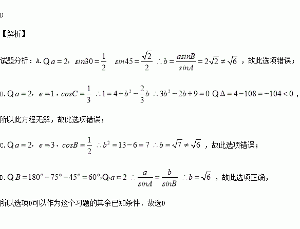
黑板上有一道有正解的解三角形的习题,一位同学不小心把其中一部分擦去了,现在只能看到:在△ABC中,角A、B、C的对边分别为a、b、c,已知a=2,…,解得,根据以上信息,你认为下面哪个选项可以作为这个习题的其余已知条件( )

A.A=30°,B=45° B.

C.B=60°,c=3 D.C=75°,A=45°

练习册系列答案
相关习题

科目:高中数学 来源:2015-2016学年河北省高二下期中文科数学试卷(解析版) 题型:填空题

已知直线为参数过定点,曲线极坐标方程为,直线与曲线交于两点,则值为_______.

查看答案和解析>>

科目:高中数学 来源:2015-2016学年山西大学附属中学高一下期中数学试卷(解析版) 题型:解答题

已知

(1)若,求的值;

(2)若为第二象限角,且,求的值.

查看答案和解析>>

科目:高中数学 来源:2015-2016学年山西大学附属中学高一下期中数学试卷(解析版) 题型:选择题

的值为( )

A. B. C. D.

查看答案和解析>>

科目:高中数学 来源:2015-2016学年河北省高一3月月考数学试卷(解析版) 题型:填空题

在平面四边形中,,,则的取值范围为.

查看答案和解析>>

科目:高中数学 来源:2015-2016学年河北省高一3月月考数学试卷(解析版) 题型:选择题

如图,为测得河对岸塔AB的高,先在河岸上选一点C,使在C塔底B的正东方向上,测得点A的仰角为60°,再由点C沿北偏东15°方向走10米到位置D,测∠BDC=45°,则塔高AB的高度为()

A. B. C. D.

查看答案和解析>>

科目:高中数学 来源:2015-2016学年安徽省高二下周末检测三文数学卷(解析版) 题型:解答题

已知函数,函数.

(1)判断函数的奇偶性;

(2)若当恒成立,求实数的最大值.

查看答案和解析>>

科目:高中数学 来源:2015-2016学年安徽省高二下周末检测三文数学卷(解析版) 题型:选择题

已知函数,在下列区间中,包含零点的区间是( )

A. B. C. D.

查看答案和解析>>

科目:高中数学 来源:2015-2016学年福建上杭一中高一下期末模拟二数学试卷(解析版) 题型:选择题

已知函数,则的最小值为( )

A. B. C. D.

查看答案和解析>>

同步练习册答案