精英家教网 > 高中数学 > 题目详情

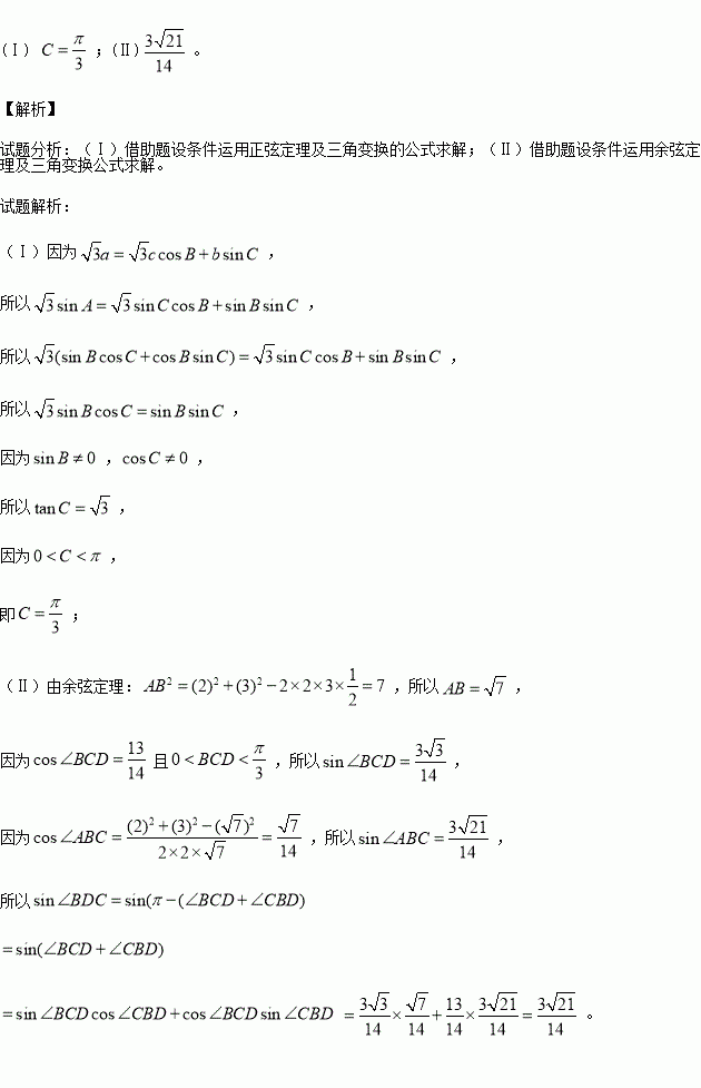
中,角所对的边分别为,已知

(Ⅰ)求的值;

(Ⅱ)若上的点,已知,求的值。

练习册系列答案
相关习题

科目:高中数学 来源:2016届河北沧州市高三4月调研数学(理)试卷(解析版) 题型:解答题

一袋子中有10个大小相同标有数字的小球,其中4个小球标有数字1,3个小球标有数字2,2个小球标有数字3,1个小球标有数字4。从袋子中任取3个小球。

(Ⅰ)求所取的3个小球中所标有数字恰有两个相同的概率;

(Ⅱ)表示所取的3个小球所标数字的最大值,求的分布列与数学期望。

查看答案和解析>>

科目:高中数学 来源:2016届福建厦门外国语学校高三5月适应性数学(文)试卷(解析版) 题型:选择题

复数(其中为虚数单位)的共轭复数在复平面内对应的点所在象限为( )

A.第一象限 B.第二象限 C.第三象限 D.第四象限

查看答案和解析>>

科目:高中数学 来源:2016届山西右玉一中高三下学期模拟考试数学(文)试卷(解析版) 题型:选择题

某三棱锥的三视图如图所示,则该三棱锥的体积为( )

A. B.1 C.2 D.4

查看答案和解析>>

科目:高中数学 来源:2016届山西右玉一中高三下学期模拟考试数学(文)试卷(解析版) 题型:选择题

若复数为纯虚数,则的值为( )

A.2 B. C. D.

查看答案和解析>>

科目:高中数学 来源:2016届四川泸州市高三教学诊断性考试三数学(理)试卷(解析版) 题型:填空题

下表给出的是某港口在某季节每天几个时刻的水深关系。

若该港口的水深和时刻的关系可用函数(其中)来近似描述,则该港口在11:00的水深为___________。

查看答案和解析>>

科目:高中数学 来源:2016届四川泸州市高三教学诊断性考试三数学(理)试卷(解析版) 题型:选择题

从一个棱长为1 的正方体中切去一部分,得到一个几何体,其三视图如右图,则该几何体的体积为( )

A. B. C. D.

查看答案和解析>>

科目:高中数学 来源:2016届陕西省高三下学期教学质检二数学(文)试卷(解析版) 题型:填空题

是实数,且是一个纯虚数,则______。

查看答案和解析>>

科目:高中数学 来源:2016届陕西省高三高考全真模拟四数学(文)试卷(解析版) 题型:解答题

已知椭圆的短轴的一个顶点和两个焦点构成正三角形,且该三角形的面积为

(1)求椭圆的方程;

(2)设是椭圆的左右焦点,若椭圆的一个内接平行四边形的一组对边过点,求这个平行四边形面积的最大值。

查看答案和解析>>

同步练习册答案