精英家教网 > 高中数学 > 题目详情
已知A,B分别是直线y=x和y=-x上的两个动点,线段AB的长为2,P是AB的中点.
(Ⅰ)求动点P的轨迹C的方程;
(Ⅱ)过点Q(l,0)作直线l(与x轴不垂直)与轨迹C交于M,N两点,与y轴交于点R,若,证明:λ+μ为定值。
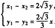
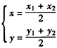
解:(Ⅰ)设P(x,y),A(x1,y1),B(x2,y2),
∵P是线段AB的中点,

∵A,B分别是直线y=x和y=-x上的点,





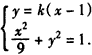
∴动点P的轨迹C的方程为
(Ⅱ)依题意,直线l的斜率存在,故可设直线l的方程为y=k(x-1),
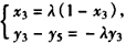
设M(x3,y3),N(x4,y4),R(0,y5),
则M,N两点坐标满足方程组
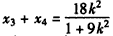
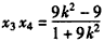
消去y并整理,得
,①    ,②,




∵l不与x轴垂直,
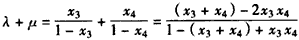
,∴,同理

将①②代入上式,可得
练习册系列答案
相关习题

科目:高中数学 来源: 题型:

已知A、B分别是直线y=
3
3
x
y=-
3
3
x
上的两个动点,线段AB的长为2
3
,D是AB的中点.
(1)求动点D的轨迹C的方程;
(2)过点N(1,0)作与x轴不垂直的直线l,交曲线C于P、Q两点,若在线段ON上存在点M(m,0),使得以MP、MQ为邻边的平行四边形是菱形,试求m的取值范围.

查看答案和解析>>

科目:高中数学 来源: 题型:

已知A、B分别是直线y=
3
3
x
y=-
3
3
x
上的两个动点,线段AB的长为2
3
,P是AB的中点.
(1)求动点P的轨迹C的方程;
(2)过点Q(1,0)作直线l(与x轴不垂直)与轨迹C交于M、N两点,与y轴交于点R.若
RM
MQ
RN
NQ
,证明:λ+μ为定值.

查看答案和解析>>

科目:高中数学 来源: 题型:

已知A,B分别是直线y=x和y=-x上的两个动点,线段AB的长为2
3
,D是AB的中点.
(1)求动点D的轨迹C的方程;
(2)若过点(1,0)的直线l与曲线C交于不同两点P、Q,
①当|PQ|=3时,求直线l的方程;
②设点E(m,0)是x轴上一点,求当
PE
QE
恒为定值时E点的坐标及定值.

查看答案和解析>>

科目:高中数学 来源: 题型:

已知A,B分别是直线y=x和y=-x上的两个动点,线段AB的长为2
3
,D是AB的中点.
(1)求动点D的轨迹C的方程;
(2)若过点(1,0)的直线l与曲线C交于不同两点P、Q,
①当|PQ|=3时,求直线l的方程;
②试问在x轴上是否存在点E(m,0),使
PE
QE
恒为定值?若存在,求出E点的坐标及定值;若不存在,请说明理由.

查看答案和解析>>

科目:高中数学 来源: 题型:

已知A、B分别是直线y=
3
3
x
y=-
3
3
x
上的两个动点,线段AB的长为2
3
,P是AB的中点.
(1)求动点P的轨迹C的方程;
(2)过点Q(1,0)任意作直线l(与x轴不垂直),设l与(1)中轨迹C交于M、N,与y轴交于R点.若
RM
MQ
RN
NQ
,证明:λ+μ 为定值.

查看答案和解析>>

同步练习册答案