精英家教网 > 高中数学 > 题目详情

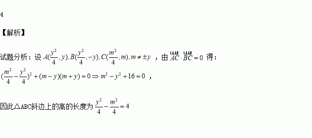
直角△ABC的三个顶点都在给定的抛物线上,且斜边AB和y轴平行,则△ABC斜边上的高的长度为

练习册系列答案
相关习题

科目:高中数学 来源:2015-2016学年江苏省沭阳县高二上学期期中考试数学试卷(解析版) 题型:填空题

下列事件是随机事件的是 (填序号).

①连续两次掷一枚硬币,两次都出现正面向上;

②异性电荷相互吸引;

③在标准大气压下,水在℃时结冰;

④任意掷一枚骰子朝上的点数是偶数.

查看答案和解析>>

科目:高中数学 来源:2016届河北省高三上学期四调文科数学试卷(解析版) 题型:解答题

(本题小满分12分)

如图,直三棱柱中,分别是的中点,

(1)证明:平面

(2)求异面直线所成角的大小;

(3)当时,求三棱锥的体积.

查看答案和解析>>

科目:高中数学 来源:2015-2016学年吉林省高二11月月考理科数学卷(解析版) 题型:解答题

(本小题满分12分)

已知在等比数列中,,且的等差中项.

(Ⅰ)求数列的通项公式;

(Ⅱ)若数列满足,求的前项和. Ks5

查看答案和解析>>

科目:高中数学 来源:2015-2016学年湖北武汉华中师大一附高一上期中数学试卷(解析版) 题型:选择题

已知函数是定义在上的奇函数, 在区间单调递增且.若实数满足, 则实数的取值范围是( )

A. B. C. D.

查看答案和解析>>

科目:高中数学 来源:2016届宁夏六盘山高中高三上学期第二次月考文科数学试卷(解析版) 题型:解答题

已知数列的前项和为

(1)求数列的通项公式;

(2)求数列的前项和的取值范围.

查看答案和解析>>

科目:高中数学 来源:2016届江苏省高三上学期周练数学试卷(解析版) 题型:解答题

在正四面体中,点上,点上,且

证明:(1)平面

(2)直线直线

查看答案和解析>>

科目:高中数学 来源:2016届湖北武汉华中师大一附等高三上第一次联考文数学卷(解析版) 题型:解答题

小明同学制作了一个简易的网球发射器,可用于帮忙练习定点接发球,如图1所示,网球场前半区、后半区总长为23.77米,球网的中间部分高度为0.914米,发射器固定安装在后半区离球网底部8米处中轴线上,发射方向与球网底部所在直线垂直.为计算方便,球场长度和球网中间高度分别按24米和1米计算,发射器和网球大小均忽略不计.如图2所示,以发射器所在位置为坐标原点建立平面直角坐标系轴在地平面上的球场中轴线上,轴垂直于地平面,单位长度为1米.已知若不考虑球网的影响,网球发射后的轨迹在方程表示的曲线上,其中与发射方向有关.发射器的射程是指网球落地点的横坐标.

(1)求发射器的最大射程;

(2)请计算在什么范围内,发射器能将球发过网(即网球飞行到球网正上空时,网球离地距离大于1米)?若发射器将网球发过球网后,在网球着地前,小明要想在前半区中轴线的正上空选择一个离地面2.55米处的击球点正好击中网球,试问击球点的横坐标最大为多少?并请说明理由.

查看答案和解析>>

科目:高中数学 来源:2015-2016学年湖南衡阳八中高二上第二次月考理科数学卷(解析版) 题型:选择题

的导函数,的图象如图,则的图象只可能是

A. B. C. D

查看答案和解析>>

同步练习册答案