精英家教网 > 高中数学 > 题目详情

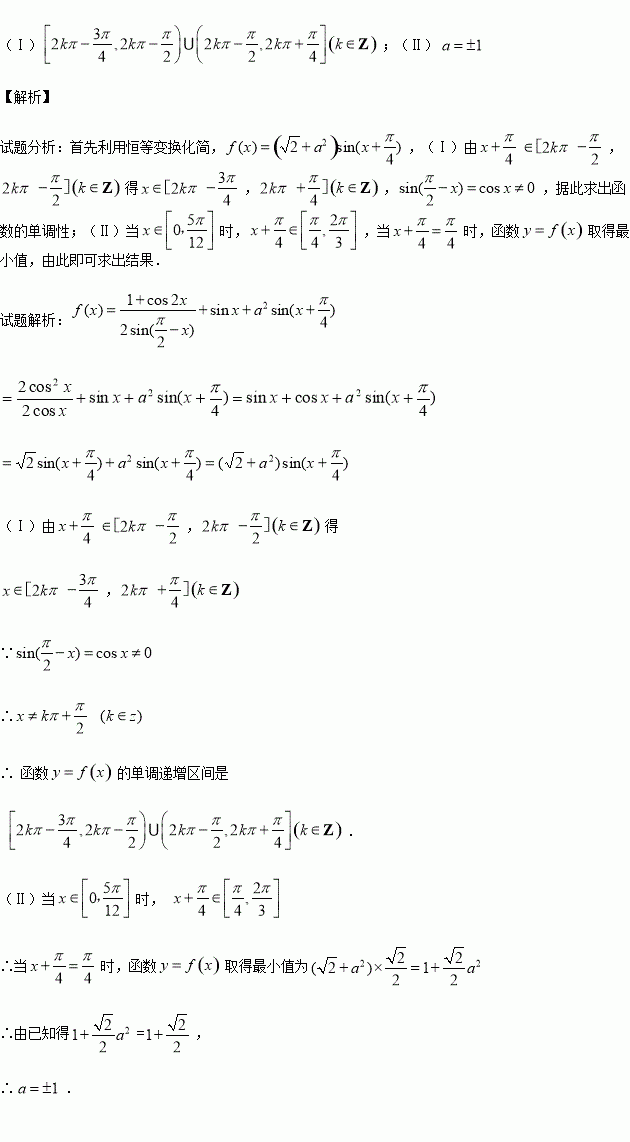
已知函数

(Ⅰ)求函数y = f(x)的单调递增区间;

(Ⅱ)当x∈[0,] 时,函数y=f(x)的最小值为 ,试确定常数a的值.

练习册系列答案
相关习题

科目:高中数学 来源:2015-2016学年黑龙江哈尔滨师大附中高二上期中文数学卷(解析版) 题型:填空题

满足约束条件:,则的最大值为___ ____.

查看答案和解析>>

科目:高中数学 来源:2015-2016学年吉林省扶余市高一上学期期中考试数学试卷(解析版) 题型:选择题

已知集合,集合满足,则集合

A.4个 B.3个 C.2个 D.1个

查看答案和解析>>

科目:高中数学 来源:2016届四川省成都市高三11月段测三理科数学试卷(解析版) 题型:解答题

己知函数f(x)=ln(x+l)-x

(1)求f(x)的单调区间;

(2)若k∈Z,且f(x-l)+x>k(1一)对任意x>l恒成立,求k的最大值;

(3)对于在(0,1)中的任意一个常数a,是否存在正数x0,使得成立?请说明理由.

查看答案和解析>>

科目:高中数学 来源:2016届江西省高三上学期第三次考试文科数学试卷(解析版) 题型:填空题

函数的图象恒过定点A,若点A在直线上,其中m,n均大于0,则的最小值为

查看答案和解析>>

科目:高中数学 来源:2015-2016学年浙江省高二上学期期中数学试卷(解析版) 题型:填空题

已知数列满足:,当时,,若数列满足对任意,有,则当时,

查看答案和解析>>

科目:高中数学 来源:2015-2016学年西藏日喀则一中高二10月月考文数学试卷(解析版) 题型:选择题

的导函数,的图象如图所示,则的图象只可能是( )

查看答案和解析>>

科目:高中数学 来源:2015-2016学年安徽师大附中高二上学期期中文科数学试卷(解析版) 题型:选择题

双曲线的渐近线与虚轴所在的直线所成的锐角为( )

A. B. C. D.

查看答案和解析>>

科目:高中数学 来源:2015-2016学年湖南省高二上学期期中文科数学试卷(解析版) 题型:选择题

下列函数中,以为最小正周期的偶函数是( )

A.y=sin2x+cos2x B.y=sin2xcos2x

C.y=cos(4x+) D.y=sin22x﹣cos22x

查看答案和解析>>

同步练习册答案