精英家教网 > 高中数学 > 题目详情
在数列{an}与{bn}中,a1=1,b1=4,数列{an}的前n项和Sn满足nSn+1-(n+3)Sn=0,2an+1为bn与bn+1的等比中项,n∈N*,
(Ⅰ)求a2,b2的值;
(Ⅱ)求数列{an}与{bn}的通项公式;
解:(1)由题设有,a1=1,解得
由题设又有,b1=4,解得
(2)由题设,2an+1为bn与bn+1的等比中项,a1=1,b1=4,及
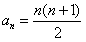
进一步可得
猜想,n∈N*,
先证,n∈N*,
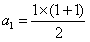
当n=1时,,等式成立;
当n≥2时用数学归纳法证明如下:
(1)当n=2时,,等式成立;
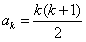
(2)假设n=k时等式成立,即,k≥2,
由题设,,  ①   
,②
①的两边分别减去②的两边,整理得
从而
这就是说,当n=k+1时等式也成立.
根据(1)和(2)可知,等式对任何的n≥2成立.
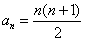
综上所述,等式对任何的n∈N*都成立;
再用数学归纳法证明,n∈N*。
(1)当n=1时,=4,等式成立;
(2)假设当n=k时等式成立,
,那么
这就是说,当n=k+1时等式也成立.
根据(1)和(2)可知,等式对任何的n∈N*都成立。
练习册系列答案
相关习题

科目:高中数学 来源: 题型:

下面几种推理过程是演绎推理的是(  )
A、某校高三1班有55人,2班有54人,3班有52人,由此得高三所有班人数超过50人
B、两条直线平行,同旁内角互补,如果∠A与∠B是两条平行直线的同旁内角,则∠A+∠B=180°
C、由平面三角形的性质,推测空间四面体性质
D、在数列{an}中a1=1,an=
1
2
(an-1+
1
an-1
)(n≥2)
,由此归纳出{an}的通项公式

查看答案和解析>>

科目:高中数学 来源: 题型:

下面几种推理过程是演绎推理的是(  )
A、两条直线平行,同旁内角互补,如果∠A与∠B是两条平行直线的同旁内角,则∠A+∠B=180°
B、某校高二(1)班有55人,高二(2)班有52人,由此得高二所有班人数超过50人
C、由平面三角形的性质,推出空间四边形的性质
D、在数列{an}中,a1=1,an=
1
2
(an-1+
1
an-1
)(n≥2)
,通过计算a2,a3,a4由此归纳出{an}的通项公式

查看答案和解析>>

科目:高中数学 来源: 题型:

已知数列{an}的通项公式为an=6n-4,数列{bn}的通项公式为bn=2n,则在数列{an}的前100项中与数列{bn}中相同的项有(  )

查看答案和解析>>

科目:高中数学 来源: 题型:

已知无穷等差数列{an},前n项和Sn中,S6<S7,且S7>S8,则(  )

查看答案和解析>>

科目:高中数学 来源: 题型:

在公差为d(d≠0)的等差数列{an}和公比为q的等比数列{bn}中,已知a1=b1=1,a2=b2,a8=b3
(Ⅰ)求数列{an}与{bn}的通项公式;
(Ⅱ)是否存在常数a,b,使得对于一切正整数n,都有an=logabn+b成立?若存在,求出常数a和b,若不存在说明理由.

查看答案和解析>>

同步练习册答案