精英家教网 > 高中数学 > 题目详情

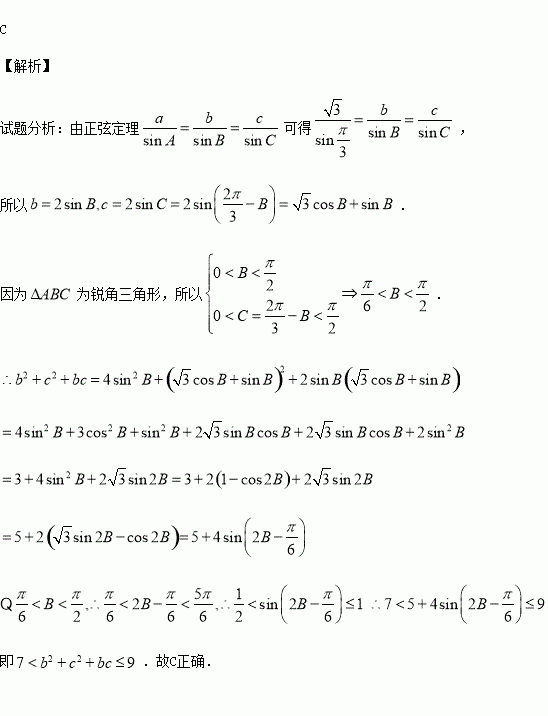
锐角中,已知,则的取值范围是 ( )

A. B. C. D.

练习册系列答案
相关习题

科目:高中数学 来源:2015-2016学年浙江省高一上学期第一次月考数学试卷(解析版) 题型:选择题

下列四个函数中,在上是增函数的是( )

A. B.

C. D.

查看答案和解析>>

科目:高中数学 来源:2016届云南师范大学附属中学高考适应性月考卷一理科数学试卷(解析版) 题型:解答题

(本小题满分12分)已知椭圆C:的离心率为,连接椭圆四个顶点形成的四边形面积为4

(1)求椭圆C的标准方程;

(2)过点A(1,0)的直线与椭圆C交于点M,N,设P为椭圆上一点,且O为坐标原点,当时,求t的取值范围.

查看答案和解析>>

科目:高中数学 来源:2015-2016学年甘肃省张掖市高二上学期10月月考文科数学试卷(解析版) 题型:填空题

数列的前项和,则数列的通项公式为

查看答案和解析>>

科目:高中数学 来源:2015-2016学年辽宁沈阳东北育才学校高二上学期第一次作业数学试卷(解析版) 题型:选择题

已知平面直角坐标系内的两个向量,,且平面内的任一向量都可以唯一的表示成为实数),则实数的取值范围是 ( )

A. B.

C. D.

查看答案和解析>>

科目:高中数学 来源:2015-2016学年湖南省长沙市推荐高二上学期开学分班数学试卷(解析版) 题型:填空题

,则=

查看答案和解析>>

科目:高中数学 来源:2014-2015学年江西省赣州市高一下学期期末考试数学试卷(解析版) 题型:选择题

已知均为单位向量,其中任何两个向量的夹角均为,则

A. B. C. D.

查看答案和解析>>

科目:高中数学 来源:2016届吉林省长春市高三质量监测文科数学试卷(解析版) 题型:解答题

(本小题满分10分) 选修4—5:不等式选讲.

已知函数.

(1)若不等式恒成立,求的取值范围;

(2)当时,求:不等式的解集.

查看答案和解析>>

科目:高中数学 来源:2014-2015学年山东省高二下学期期末理科数学试卷(解析版) 题型:填空题

已知函数在区间上恰有一个极值点,则实数a的取值范围是

查看答案和解析>>

同步练习册答案