精英家教网 > 高中数学 > 题目详情

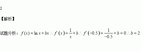
函数的图像如图所示.则 .

练习册系列答案
相关习题

科目:高中数学 来源:2017届湖北黄石市高三9月调研数学(理)试卷(解析版) 题型:解答题

数列的前项和满足,且成等差数列.

(1)求数列的通项公式;

(2)设,求数列的前项和

查看答案和解析>>

科目:高中数学 来源:2015-2016学年陕西延川县中学高二下学期期中数学(理)试卷(解析版) 题型:解答题

对任意实数都有恒成立,求实数的取值范围.

查看答案和解析>>

科目:高中数学 来源:2015-2016学年江苏徐州沛县中学高二下学期质检二数学(理)试卷(解析版) 题型:填空题

函数的图象在点处的切线方程为_____________.

查看答案和解析>>

科目:高中数学 来源:2015-2016学年河北秦皇岛卢龙县高二下学期期末数学(文)试卷(解析版) 题型:解答题

已知函数,(为实数),

(1)讨论函数的单调区间;

(2)求函数的极值;

(3)求证:

查看答案和解析>>

科目:高中数学 来源:2015-2016学年河北秦皇岛卢龙县高二下学期期末数学(文)试卷(解析版) 题型:选择题

已知点是以为焦点的椭圆上一点,若,则椭圆的离心率为( )

A. B. C. D.

查看答案和解析>>

科目:高中数学 来源:2015-2016学年河北秦皇岛卢龙县高二下学期期末数学(文)试卷(解析版) 题型:选择题

四名同学根据各自的样本数据研究变量之间的相关关系,并求得回归直线方程,分别得到以下四个结论:

负相关且=2.347x-6.423

负相关且=-3.476x+5.648

正相关且=5.437x+8.493

正相关且=-4.326x-4.578

其中一定不正确的结论的序号是( )

A.①② B.②③ C.③④ D.①④

查看答案和解析>>

科目:高中数学 来源:2015-2016学年河北秦皇岛卢龙县高二下学期期末数学(理)试卷(解析版) 题型:选择题

已知点是以为焦点的椭圆上一点,若,则椭圆的离心率为( )

A. B. C. D.

查看答案和解析>>

科目:高中数学 来源:2016-2017学年湖北襄阳五中高二上学期开学考数学文试卷(解析版) 题型:填空题

如图,已知平面是直线上的两点,是平面内的两点,且 .是平面上的一动点,且直线与平面所成角相等,则二面角的余弦值的最小值是________.

查看答案和解析>>

同步练习册答案