精英家教网 > 高中数学 > 题目详情

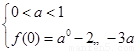
已知函数,()是上的减函数,则的取值范围是(   )

A.   B.  C.  D.

 

【答案】

B

【解析】

试题分析:由上的减函数,可得,化简得

考点:分段函数的单调性.

 

练习册系列答案
相关习题

科目:高中数学 来源: 题型:

8、已知函数f(x)是定义在R上的偶函数,且满足f(x+1)+f(x)=3,当x∈[0,1]时,f(x)=2-x,则f(-2 009.9)=
1.9

查看答案和解析>>

科目:高中数学 来源: 题型:

已知函数f (x)是定义在R上的奇函数,若f(x)在区间[1,a](a>2)上单调递增,且f (x)>0,则以下不等式不一定成立的是(  )

查看答案和解析>>

科目:高中数学 来源: 题型:

已知函数f(x)是定义在R上的函数,其最小正周期为3,且x∈(0,3)时,f(x)=log2(3x+1),则f(2014)=(  )
A、4B、2C、-2D、log27

查看答案和解析>>

科目:高中数学 来源:福建省模拟题 题型:单选题

已知函数f(x)是上的偶函数,若对于x≥0,都有f(x+2)=f(x),且当时,f(x)=log2(x+1),则f(-2011)+f(2012)的值为
[     ]
A.-2
B.-1
C.1
D.2

查看答案和解析>>

同步练习册答案